| 查看: 899 | 回复: 2 | ||
qswg520木虫 (小有名气)
|
[求助]
DOM三维谱图 已有1人参与
|
|
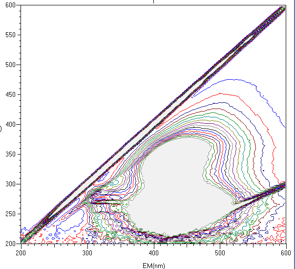
亲爱的各位大神,向您们请教一个三维荧光谱图的问题,帮帮忙分析分析,问题出在哪里了啊? 做出的图如下:中心都是空的,并且特征峰都连在一起了,没有分开。这样的图正常吗?该如何分析呢,DOC 溶液荧光三维谱。 121.png |
» 猜你喜欢
EI国际会议检索更新通知
已经有4人回复
【博士招生】广东工业大学国家优青课题组招收2026年博士生(环境/化学/材料/微生物)
已经有9人回复
环境化学论文润色/翻译怎么收费?
已经有178人回复
企业出国访问交流求助
已经有0人回复
考研调剂
已经有0人回复
研究生招生
已经有0人回复
新西兰的访问学者群有吗?
已经有0人回复
安徽工程大学化学与环境工程学院 2026 年硕士 研究生招生调剂
已经有10人回复
全国最美校园考研调剂,过线就上岸,赶快上车
已经有1人回复
安徽工程大学化学与环境工程学院2026级硕士研究生还有部分调剂名额-资源与环境专硕
已经有9人回复
IEEE出版,确保EI检索/2026第6届电子技术、通信与信息国际会议(ICETCI 2026)
已经有2人回复

yy宫商角徵羽
金虫 (正式写手)
- 应助: 14 (小学生)
- 金币: 1151.7
- 散金: 1083
- 红花: 4
- 帖子: 311
- 在线: 143.9小时
- 虫号: 3367118
- 注册: 2014-08-15
- 性别: GG
- 专业: 环境工程
2楼2016-03-23 15:39:36
yy宫商角徵羽
金虫 (正式写手)
- 应助: 14 (小学生)
- 金币: 1151.7
- 散金: 1083
- 红花: 4
- 帖子: 311
- 在线: 143.9小时
- 虫号: 3367118
- 注册: 2014-08-15
- 性别: GG
- 专业: 环境工程
3楼2016-03-23 15:40:42













回复此楼