| ²é¿´: 774 | »Ø¸´: 2 | ||
¸ÐÐÔÓëÀíÐÔÌú³æ (³õÈëÎÄ̳)
|
[ÇóÖú]
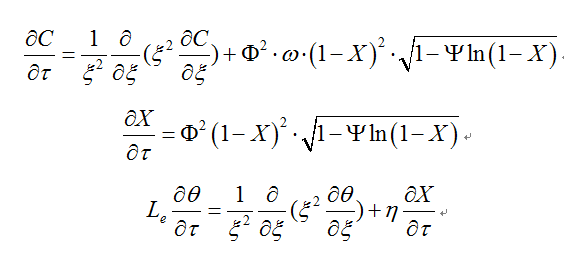
´ó¼Ò°ïæ¿´¿´Õâ¸öƫ΢·Ö·½³Ì×éÈçºÎÇó½âÎö½âºÍÊýÖµ½â£¿Ï£Íû´ó¼Ò¸ø¸ö˼·£¬ÓÈÆä½âÎö½â
|
|
![]() |
||
|
|
||
¸ÐÐÔÓëÀíÐÔÌú³æ (³õÈëÎÄ̳)
|
||
![]() |
||
|
2Â¥2015-10-20 17:26:00
|
|
|
¸ÐÐÔÓëÀíÐÔÌú³æ (³õÈëÎÄ̳) |
|
|
|
3Â¥2015-10-21 14:46:53
|
|














»Ø¸´´ËÂ¥