| ²é¿´: 1572 | »Ø¸´: 22 | ||||
·Æ¶¥¶¥Í³æ (ÕýʽдÊÖ)
|
[ÇóÖú]
¼ÆËãÄÜ´ø ÒÑÓÐ4È˲ÎÓë
|
|||
|
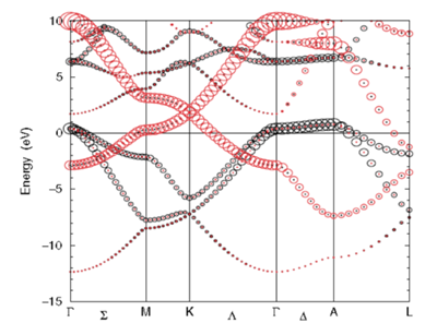
ÏëÏò´ó¼ÒÇë½Ì£¬origin´¦ÀíºóÄÜ´ø²»¶¼ÊÇÒ»ÌõÒ»ÌõµÄ£¬Ã»Óн»²æ£¬¿ÉÊÇÎÄÏ×Àï³öÏÖÁ˽»²æµÄÄÜ´ø£¬ÕâÊÇʲôÔÒò£¬´ó¼ÒÓÐÁ˽â¹ýµÄÂ𣿠ÎÄÏ×ÖÐ.png ×Ô¼º.png |
» ²ÂÄãϲ»¶
ÊÛSCIÒ»ÇøÎÄÕ£¬ÎÒ:8 O5 51O 54,¿ÆÄ¿ÆëÈ«,¿É+¼±
ÒѾÓÐ8È˻ظ´
ÌåÖÆÄÚ³¤±²ËµÌåÖÆÄÚ¾ø´ó²¿·ÖÒ»±²×ÓÔڵײ㣬ÈçͬÄãÃÇÒ»Ñù´ó²¿·ÖÆÕͨ½ÌʦæÇÒÊÕÈëµÍ
ÒѾÓÐ13È˻ظ´
ÊÛSCIÒ»ÇøÎÄÕ£¬ÎÒ:8 O5 51O 54,¿ÆÄ¿ÆëÈ«,¿É+¼±
ÒѾÓÐ8È˻ظ´
ÊÛSCIÒ»ÇøÎÄÕ£¬ÎÒ:8 O5 51O 54,¿ÆÄ¿ÆëÈ«,¿É+¼±
ÒѾÓÐ8È˻ظ´
ÊÛSCIÒ»ÇøÎÄÕ£¬ÎÒ:8 O5 51O 54,¿ÆÄ¿ÆëÈ«,¿É+¼±
ÒѾÓÐ11È˻ظ´
ΪʲôÖйú´óѧ¹¤¿Æ½ÌÊÚÃÇË®ÁËÄÇô¶àËùνµÄ¶¥»á¶¥¿¯£¬µ«»¹ÊÇ×ö²»³öÓîÊ÷»úÆ÷ÈË£¿
ÒѾÓÐ8È˻ظ´
ÊÛSCIÒ»ÇøÎÄÕ£¬ÎÒ:8 O5 51O 54,¿ÆÄ¿ÆëÈ«,¿É+¼±
ÒѾÓÐ5È˻ظ´
ÊÛSCIÒ»ÇøÎÄÕ£¬ÎÒ:8 O5 51O 54,¿ÆÄ¿ÆëÈ«,¿É+¼±
ÒѾÓÐ6È˻ظ´
ÊÛSCIÒ»ÇøÎÄÕ£¬ÎÒ:8 O5 51O 54,¿ÆÄ¿ÆëÈ«,¿É+¼±
ÒѾÓÐ9È˻ظ´
ÊÛSCIÒ»ÇøÎÄÕ£¬ÎÒ:8 O5 51O 54,¿ÆÄ¿ÆëÈ«,¿É+¼±
ÒѾÓÐ4È˻ظ´
jpchou
ר¼Ò¹ËÎÊ (ÖøÃûдÊÖ)
-

ר¼Ò¾Ñé: +20 - 1STÇ¿Ìû: 5
- Ó¦Öú: 231 (´óѧÉú)
- ½ð±Ò: 2342
- É¢½ð: 4367
- ºì»¨: 103
- Ìû×Ó: 1061
- ÔÚÏß: 757.3Сʱ
- ³æºÅ: 585915
- ×¢²á: 2008-08-08
- ÐÔ±ð: GG
- רҵ: Äý¾Û̬ÎïÐÔ II £ºµç×ӽṹ
- ¹ÜϽ: µÚÒ»ÐÔÔÀí
¡¾´ð°¸¡¿Ó¦Öú»ØÌû
¡ï ¡ï ¡ï ¡ï ¡ï ¡ï ¡ï ¡ï ¡ï ¡ï ¡ï ¡ï ¡ï ¡ï
¸Ðл²ÎÓ룬ӦÖúÖ¸Êý +1
·Æ¶¥¶¥: ½ð±Ò+5 2015-10-22 15:16:53
fzx2008: ½ð±Ò+4, ллָµ¼ 2015-10-27 19:48:13
ljw4010: ½ð±Ò+5, ллָµ¼ 2015-11-12 21:44:11
¸Ðл²ÎÓ룬ӦÖúÖ¸Êý +1
·Æ¶¥¶¥: ½ð±Ò+5 2015-10-22 15:16:53
fzx2008: ½ð±Ò+4, ллָµ¼ 2015-10-27 19:48:13
ljw4010: ½ð±Ò+5, ллָµ¼ 2015-11-12 21:44:11
|
??????J?ý‚?????????????????? ???§» k ?c????? degenerate state (??????? state ??????? eigenvalue) ???? ?@§»?c????????c ??????????Y????????¨©I????@??????? ?????????????????c???? 1. ???? k ?c??? ????r??????k?c????????????c???????????????D??????????????c 2. origin ?D????? "??"?????? "?c" ??????F (????¨©I???????) ?????????????????§ß????"???X" (???????? k ?c????????c??????F????????) 3. ?_?J?????y????Q????????_ ?????a?????????????_?^?v???????? k ?c??? degenerate state ????????y???????????Q???????s???????????????§î??Q???G????e ???????? degenerate ???????§á???]?? degenerate 4. ?? Band_Analyze http://blog.sciencenet.cn/home.php?mod=space&uid=345795&do=blog&id=641013 ?????????w??o?????Y???r ??? k ?c?? band energy (eigenvalue) ???§Ø?????§³????? ?@???????????? ?????? band structure ???r?????§á?????????????@?????r ?????????? k ?? ??? band ?????_????????? k ??? band ????? ?????Q?@???} |
» ±¾ÌûÒÑ»ñµÃµÄºì»¨£¨×îÐÂ10¶ä£©
8Â¥2015-10-21 17:01:46
СūÁ¥
ľ³æ (ÖøÃûдÊÖ)
- Ó¦Öú: 34 (СѧÉú)
- ½ð±Ò: 13620.9
- É¢½ð: 66
- ºì»¨: 4
- Ìû×Ó: 1640
- ÔÚÏß: 174.2Сʱ
- ³æºÅ: 2807845
- ×¢²á: 2013-11-17
- רҵ: Äý¾Û̬ÎïÐÔ II £ºµç×ӽṹ
¡¾´ð°¸¡¿Ó¦Öú»ØÌû
¡ï ¡ï
¸Ðл²ÎÓ룬ӦÖúÖ¸Êý +1
·Æ¶¥¶¥: ½ð±Ò+1 2015-10-22 15:16:41
liliangfang: ½ð±Ò+1, лл½»Á÷ 2015-11-22 11:25:46
¸Ðл²ÎÓ룬ӦÖúÖ¸Êý +1
·Æ¶¥¶¥: ½ð±Ò+1 2015-10-22 15:16:41
liliangfang: ½ð±Ò+1, лл½»Á÷ 2015-11-22 11:25:46
ÎÒ¾õµÃÎÄÏ׺ÍÄã¼ÆËãµÄ»ù±¾Ò»Ö£¬ÎÄÏ×ÖÐÖ®ËùÒÔÓн»²æ£¬Ó¦¸ÃÊDZí´ïµÄͬһ¹ìµÀµÄÄÜ´ø~~~ÕâÑù±íʾʱ»á³öÏÖ½»²æµÄ~~~µ±È»£¬ÎÒÒ²²»ÄÜÊ®·ÖÈ·¶¨ |
2Â¥2015-10-20 19:41:31
xhzha
Ìú¸Ëľ³æ (ÕýʽдÊÖ)
- Ó¦Öú: 37 (СѧÉú)
- ½ð±Ò: 9454.6
- É¢½ð: 30
- ºì»¨: 7
- Ìû×Ó: 409
- ÔÚÏß: 577.7Сʱ
- ³æºÅ: 1101711
- ×¢²á: 2010-09-17
- ÐÔ±ð: GG
- רҵ: Äý¾Û̬ÎïÐÔI:½á¹¹¡¢Á¦Ñ§ºÍ
¡¾´ð°¸¡¿Ó¦Öú»ØÌû
¡ï ¡ï
¸Ðл²ÎÓ룬ӦÖúÖ¸Êý +1
·Æ¶¥¶¥: ½ð±Ò+1 2015-10-22 15:16:36
liliangfang: ½ð±Ò+1, лл½»Á÷ 2015-11-22 11:25:52
¸Ðл²ÎÓ룬ӦÖúÖ¸Êý +1
·Æ¶¥¶¥: ½ð±Ò+1 2015-10-22 15:16:36
liliangfang: ½ð±Ò+1, лл½»Á÷ 2015-11-22 11:25:52
| ¶ÔÊý¾Ý½øÐÐÁË´¦Àí£¬Êµ¼ÊÄÜ´øÓ¦Óн»²æµÄ£¬Ö»ÊÇÏÖÔڴ󲿷ÖÈí¼þûÓп¼ÂÇÄÜ´ø½»²æµÄÎÊÌâ¡£ |
3Â¥2015-10-20 23:12:53
djwell
ľ³æ (СÓÐÃûÆø)
- Ó¦Öú: 2 (Ó×¶ùÔ°)
- ½ð±Ò: 1594
- É¢½ð: 88
- ºì»¨: 1
- Ìû×Ó: 285
- ÔÚÏß: 66.7Сʱ
- ³æºÅ: 1174378
- ×¢²á: 2010-12-21
- רҵ: ×ÊÔ´ÀûÓÿÆÑ§¼°ÆäËû
¡¾´ð°¸¡¿Ó¦Öú»ØÌû
¡ï ¡ï
¸Ðл²ÎÓ룬ӦÖúÖ¸Êý +1
·Æ¶¥¶¥: ½ð±Ò+1 2015-10-22 15:16:45
liliangfang: ½ð±Ò+1, лл½»Á÷ 2015-11-22 11:26:12
¸Ðл²ÎÓ룬ӦÖúÖ¸Êý +1
·Æ¶¥¶¥: ½ð±Ò+1 2015-10-22 15:16:45
liliangfang: ½ð±Ò+1, лл½»Á÷ 2015-11-22 11:26:12
| ¸ù¾ÝºéÌØ¶¨ÔòºÍ±£Àû²»ÏàÈÝÔÀí £¬ÊDz»»á³öÏÖ½»²æµÄ |

4Â¥2015-10-21 09:51:51
jpchou
ר¼Ò¹ËÎÊ (ÖøÃûдÊÖ)
-

ר¼Ò¾Ñé: +20 - 1STÇ¿Ìû: 5
- Ó¦Öú: 231 (´óѧÉú)
- ½ð±Ò: 2342
- É¢½ð: 4367
- ºì»¨: 103
- Ìû×Ó: 1061
- ÔÚÏß: 757.3Сʱ
- ³æºÅ: 585915
- ×¢²á: 2008-08-08
- ÐÔ±ð: GG
- רҵ: Äý¾Û̬ÎïÐÔ II £ºµç×ӽṹ
- ¹ÜϽ: µÚÒ»ÐÔÔÀí
|
???????????????????? ???????^ PROCAR ???????? ??~ P4vasp ????????@?? ???????????????]?????? P4vasp |
15Â¥2015-10-27 20:03:15
jpchou
ר¼Ò¹ËÎÊ (ÖøÃûдÊÖ)
-

ר¼Ò¾Ñé: +20 - 1STÇ¿Ìû: 5
- Ó¦Öú: 231 (´óѧÉú)
- ½ð±Ò: 2342
- É¢½ð: 4367
- ºì»¨: 103
- Ìû×Ó: 1061
- ÔÚÏß: 757.3Сʱ
- ³æºÅ: 585915
- ×¢²á: 2008-08-08
- ÐÔ±ð: GG
- רҵ: Äý¾Û̬ÎïÐÔ II £ºµç×ӽṹ
- ¹ÜϽ: µÚÒ»ÐÔÔÀí
¡ï ¡ï ¡ï
fzx2008: ½ð±Ò+3, ллָµ¼ 2015-11-30 14:14:34
fzx2008: ½ð±Ò+3, ллָµ¼ 2015-11-30 14:14:34
|
?????????????????????????????¨®???????????????§³?????????????????? > ?????]???^ Band_analyze??????????????????????????????? ?????????? Band_analyze ??????n?e?????§»??N ??~ ?????????????? ?@????????§Ñ????????I??????e?? ???? ??????????????n (????????????? band structure ??????n??) ?? ?e??~ ????????????????M???? (three column) ????M?? k-path??????M?? eigenvalue (energy)?????????M??????I?? ????§³????????M?????o?c ????????? xmgrace ???@?? band structure ????????????@????? xmgrace -settype xysize xxxxx.dat xxxx.dat ???? Band_analyze ??????n ??^ -settype xysize ? xmgrace ??? ????D?r dat ?n?????????M???? ????M x ????M y ?????M size ????????????????§³??????? ??????????????w???D~ ??????????????????f?? ??????????????v????t ???w?????r????§³??????M??????Q??~ ???? ps. ?????????? Band_analyze ?? source code ????_?????????M???? ??~ ?????? bands.dat ?@???n?? "????" ????n???? fort.xxxx ??n???? |
» ±¾ÌûÒÑ»ñµÃµÄºì»¨£¨×îÐÂ10¶ä£©
22Â¥2015-11-12 23:24:40
·Æ¶¥¶¥
ͳæ (ÕýʽдÊÖ)
- Ó¦Öú: 2 (Ó×¶ùÔ°)
- ½ð±Ò: 32.6
- É¢½ð: 45
- ºì»¨: 10
- Ìû×Ó: 631
- ÔÚÏß: 250.2Сʱ
- ³æºÅ: 1462090
- ×¢²á: 2011-10-26
- רҵ: Äý¾Û̬ÎïÐÔ II £ºµç×ӽṹ
5Â¥2015-10-21 15:17:17
·Æ¶¥¶¥
ͳæ (ÕýʽдÊÖ)
- Ó¦Öú: 2 (Ó×¶ùÔ°)
- ½ð±Ò: 32.6
- É¢½ð: 45
- ºì»¨: 10
- Ìû×Ó: 631
- ÔÚÏß: 250.2Сʱ
- ³æºÅ: 1462090
- ×¢²á: 2011-10-26
- רҵ: Äý¾Û̬ÎïÐÔ II £ºµç×ӽṹ
6Â¥2015-10-21 15:18:38
·Æ¶¥¶¥
ͳæ (ÕýʽдÊÖ)
- Ó¦Öú: 2 (Ó×¶ùÔ°)
- ½ð±Ò: 32.6
- É¢½ð: 45
- ºì»¨: 10
- Ìû×Ó: 631
- ÔÚÏß: 250.2Сʱ
- ³æºÅ: 1462090
- ×¢²á: 2011-10-26
- רҵ: Äý¾Û̬ÎïÐÔ II £ºµç×ӽṹ
7Â¥2015-10-21 15:19:57
·Æ¶¥¶¥
ͳæ (ÕýʽдÊÖ)
- Ó¦Öú: 2 (Ó×¶ùÔ°)
- ½ð±Ò: 32.6
- É¢½ð: 45
- ºì»¨: 10
- Ìû×Ó: 631
- ÔÚÏß: 250.2Сʱ
- ³æºÅ: 1462090
- ×¢²á: 2011-10-26
- רҵ: Äý¾Û̬ÎïÐÔ II £ºµç×ӽṹ
9Â¥2015-10-21 17:06:33
·Æ¶¥¶¥
ͳæ (ÕýʽдÊÖ)
- Ó¦Öú: 2 (Ó×¶ùÔ°)
- ½ð±Ò: 32.6
- É¢½ð: 45
- ºì»¨: 10
- Ìû×Ó: 631
- ÔÚÏß: 250.2Сʱ
- ³æºÅ: 1462090
- ×¢²á: 2011-10-26
- רҵ: Äý¾Û̬ÎïÐÔ II £ºµç×ӽṹ
|
ÁíÍ⣬ÎÄÕÂÖн²µ½£¬ºìÉ«ÊÇÎ÷¸ñÂê¼ü£¬ºÚÉ«ÊÇÅɼü£¬ÎÒ²»Ì«Àí½âÕâÑùµÄÐÅÏ¢ÊÇÈçºÎ¿´³öÀ´µÄ£¬ÇëÎÊÄúÓйýÕâ·½ÃæµÄÑо¿Â𣬠·¢×ÔСľ³æAndroid¿Í»§¶Ë |
10Â¥2015-10-21 17:09:49













»Ø¸´´ËÂ¥
·Æ¶¥¶¥