²é¿´: 384  |  »Ø¸´: 0

5lÒ¶×Ó

гæ (³õÈëÎÄ̳)

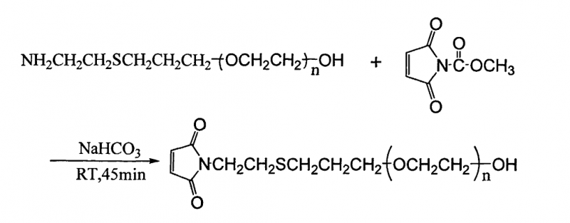
[ÇóÖú] MAL-PEG-OH·´Ó¦»úÀíÇóÖú

ÈçÏÂͼ ºÏ³ÉMAL-PEG-OHµÄ·´Ó¦£¬Æä·´Ó¦»úÀíÊÇʲô£¿

MAL-PEG-OH·´Ó¦»úÀíÇóÖú
mal-peg-oh ºÏ³É¹¤ÒÕ.png
»Ø¸´´ËÂ¥
ÒÑÔÄ   »Ø¸´´ËÂ¥   ¹Ø×¢TA ¸øTA·¢ÏûÏ¢ ËÍTAºì»¨ TAµÄ»ØÌû
Ïà¹Ø°æ¿éÌø×ª ÎÒÒª¶©ÔÄÂ¥Ö÷ 5lÒ¶×Ó µÄÖ÷Ìâ¸üÐÂ
×î¾ßÈËÆøÈÈÌûÍÆ¼ö [²é¿´È«²¿] ×÷Õß »Ø/¿´ ×îºó·¢±í
[¿¼ÑÐ] ×Ü·Ö322ÇóÉúÎïѧ/Éú»¯Óë·Ö×Ó/ÉúÎïÐÅϢѧÏà¹Øµ÷¼Á +5 ÐdzÁuu 2026-03-26 6/300 2026-03-26 19:02 by macy2011
[¿¼ÑÐ] ²ÄÁϵ÷¼Á +7 Æ¥¿Ëi 2026-03-23 7/350 2026-03-26 19:00 by ²»³Ôô~µÄ؈
[¿¼ÑÐ] Öйú¿ÆÑ§ÔºÉîÛÚÏȽø¼¼ÊõÑо¿Ôº-¹âÏË´«¸Ð¿ÎÌâ×éÕÐÉú-Öйú¿ÆÑ§Ôº´óѧ¡¢ÉîÛÚÀí¹¤´óѧÁªÅà +5 YangTyu1 2026-03-26 5/250 2026-03-26 18:27 by èßäèßäѽ
[¿¼ÑÐ] 085600²ÄÁÏÓ뻯¹¤306 +7 z1z2z3879 2026-03-21 7/350 2026-03-26 17:59 by fmesaito
[¿¼ÑÐ] 352Çóµ÷¼Á +4 ´óÃ×·¹£¡ 2026-03-22 4/200 2026-03-26 16:40 by ²»³Ôô~µÄ؈
[¿¼ÑÐ] 0856µ÷¼Á +4 ÇóÇóÈÃÎÒÓÐÊé¶Á° 2026-03-26 5/250 2026-03-26 15:54 by dick_runner
[¿¼ÑÐ] µ÷¼Á310 +3 ÎÂÈáµÄÍí°² 2026-03-25 4/200 2026-03-25 23:16 by peike
[¿¼ÑÐ] 0854AI CV·½ÏòÕÐÊÕµ÷¼Á +4 ÕÂСÓã567 2026-03-23 4/200 2026-03-25 17:04 by CoderLoser
[¿¼ÑÐ] Ò»Ö¾Ô¸ÎäÀí085500»úеרҵ×Ü·Ö300Çóµ÷¼Á +3 an10101 2026-03-24 7/350 2026-03-25 00:00 by ɽ¹í0-
[¿¼ÑÐ] 070300»¯Ñ§Çóµ÷¼Á +9 Ô·¶¹¶¹ 2026-03-20 9/450 2026-03-24 17:15 by licg0208
[¿¼ÑÐ] 277·ÖÇóµ÷¼Á£¬¿çµ÷²ÄÁÏ +3 ¿¼Ñе÷¼Álxh 2026-03-24 3/150 2026-03-24 13:52 by JourneyLucky
[¿¼ÑÐ] 341Çóµ÷¼Á(Ò»Ö¾Ô¸ºþÄÏ´óѧ070300) +5 ·¬ÇÑÍ·--- 2026-03-22 6/300 2026-03-23 23:45 by Txy@872106
[¿¼ÑÐ] 284Çóµ÷¼Á +3 yanzhixue111 2026-03-23 6/300 2026-03-23 22:58 by pswait
[¿¼ÑÐ] Ò»Ö¾Ô¸ÖØÇì´óѧ085700×ÊÔ´Óë»·¾³£¬×Ü·Ö308Çóµ÷¼Á +7 īīĮ 2026-03-23 8/400 2026-03-23 20:36 by Creta
[¿¼ÑÐ] Ò»Ö¾Ô¸»ªÖпƼ¼´óѧ071000£¬Çóµ÷¼Á +4 ÑØ°¶Óб´¿Ç6 2026-03-21 4/200 2026-03-22 07:21 by ilovexiaobin
[¿¼ÑÐ] 0703»¯Ñ§µ÷¼Á +4 ÄÝÄÝninicgb 2026-03-21 4/200 2026-03-21 18:39 by ѧԱ8dgXkO
[¿¼ÑÐ] 297Çóµ÷¼Á +3 ϲ»¶»¹ÊDz»¸ÊÐÄ 2026-03-20 3/150 2026-03-21 18:33 by ѧԱ8dgXkO
[¿¼ÑÐ] 266Çóµ÷¼Á +3 ÍÛºôºßºôºß 2026-03-20 3/150 2026-03-21 16:46 by barlinike
[¿¼ÑÐ] 261ÇóBÇøµ÷¼Á£¬¿ÆÑо­Àú·á¸» +3 Å£Ä̺Üæ 2026-03-20 4/200 2026-03-20 19:34 by JourneyLucky
[¿¼ÑÐ] Çóµ÷¼Á +3 eation27 2026-03-20 3/150 2026-03-20 19:32 by JourneyLucky
ÐÅÏ¢Ìáʾ
ÇëÌî´¦ÀíÒâ¼û