| 查看: 966 | 回复: 1 | ||
cyberspecter至尊木虫 (职业作家)
|
[求助]
关于MATLAB中迭代循环的符号运算 已有1人参与
|
|
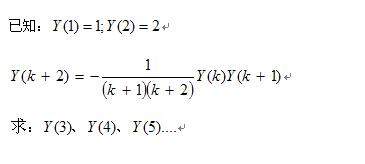
下图中计算Y(3)、Y(4)等,可用下面的程序实现 format rat %用分数表示结果 Y=zeros(10,1); Y(1)=1; Y(2)=2; for k=1:8 Y(k+2)=-Y(k)*Y(k+1)/(k+1)/(k+2); end 但是如果Y(1)=a, Y(2)=b该怎么编程符号计算Y(3)、Y(4)....呢? 未命名.JPG |
» 猜你喜欢
290求调剂
已经有7人回复
一志愿中南化学(0703)总分337求调剂
已经有8人回复
北科281学硕材料求调剂
已经有5人回复
求调剂一志愿南京航空航天大学289分
已经有3人回复
A区线材料学调剂
已经有5人回复
材料学硕297已过四六级求调剂推荐
已经有11人回复
316求调剂
已经有5人回复
一志愿西南交通 专硕 材料355 本科双非 求调剂
已经有5人回复
一志愿武汉理工材料工程专硕调剂
已经有8人回复
329求调剂
已经有8人回复
zhangzhiguang
至尊木虫 (文坛精英)
- 应助: 121 (高中生)
- 金币: 53088.8
- 红花: 24
- 沙发: 222
- 帖子: 26519
- 在线: 881.4小时
- 虫号: 492270
- 注册: 2008-01-08
- 性别: GG
- 专业: 基础物理学

2楼2015-10-19 14:20:55













回复此楼