| ²é¿´: 1068 | »Ø¸´: 10 | ||
ÊÅË®¿Íľ³æ (ÕýʽдÊÖ)
|
[ÇóÖú]
ÓйØËÙÂʳ£ÊýµÄÒ»µÀÑ¡ÔñÌâ ÒÑÓÐ3È˲ÎÓë
|
|
|
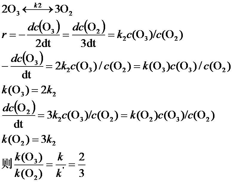
·´Ó¦2O3¡ú3O2ÆäËÙÂÊ·½³ÌʽÈôΪd (O3) / dt = k (O3)2 (O2)-1»òd(O2)/dt = k'(O3)2 (O2)-1 £¬ÔòËÙÂʳ£ÊýºÍk£§µÄ¹ØÏµÊÇ£¨ £© a. 2k=3k' b. k=k' c. 3k=2k' d. ¨C1/2k=1/3k' ÎҲ鵽µÄ´ð°¸ÊÇC£¬µ«ÎÒ¾õµÃÊÇD¡£ ÒòΪ-1/2 d[O3]/dt = 1/3 d[O2]/dt£¬´úÈëÌâ¸ÉÉϵÄÁ½¸öËÙÂÊ·½³Ì£¬ÄÇkºÍk¡¯Ö®¼äµÄ¹ØÏµµÃÓиö¸ººÅ²ÅÐа¡¡£ ÇóÖ¸½Ì = = |
» ²ÂÄãϲ»¶
Î人·ÄÖ¯´óѧ-²ÄÁÏ¿ÆÑ§Ó빤³ÌѧԺ-½ªÎ°½ÜÇàÍŶÓ-ÕÐÉúÎï·½Ïòµ÷¼Á
ÒѾÓÐ0È˻ظ´
Î人·ÄÖ¯´óѧ-²ÄÁÏ¿ÆÑ§Ó빤³ÌѧԺ-ÕÐ ÉúÎï·½Ïò ˶ʿ£¡
ÒѾÓÐ0È˻ظ´
Óлú¸ß·Ö×Ó²ÄÁÏÂÛÎÄÈóÉ«/·ÒëÔõôÊÕ·Ñ?
ÒѾÓÐ241È˻ظ´
Î人·ÄÖ¯´óѧ-²ÄÁÏ¿ÆÑ§Ó빤³ÌѧԺ-½ªÎ°½ÜÇàÍŶÓ-ÕÐÉúÎï·½Ïòµ÷¼Á
ÒѾÓÐ0È˻ظ´
[Î人·ÄÖ¯´óѧ]²ÄÁÏѧԺ[½ªÎ°ÍŶÓÃû³Æ]¿ÎÌâ×é-2026Äê˶ʿÑо¿Éúµ÷¼ÁÐÅÏ¢
ÒѾÓÐ0È˻ظ´
Î人·ÄÖ¯´óѧ-²ÄÁÏ¿ÆÑ§Ó빤³ÌѧԺ-½ªÎ°½ÜÇàÍŶÓ-Õе÷¼Á
ÒѾÓÐ0È˻ظ´
ÉúÎïҽѧ²ÄÁÏÇ°ÑØ¿ÆÆÕ£ºµÍÃܶȡ¢¸ß¿×϶Âʵġ°¶à¿×΢Çò¡±ºËÐļ¼ÊõÓëÓ¦ÓÃÈ«¾°
ÒѾÓÐ1È˻ظ´
ºþÄϹ¤Òµ´óѧÖܹóÒú¿ÎÌâ×éÕÐÉúÎïҽѧ¹¤³Ì£¨07¡¢08¶¼ÐУ©ºÍÉúÎïÓëÒ½Ò©£¨0860£©Ë¶Ê¿Éú
ÒѾÓÐ0È˻ظ´
ºþÄϹ¤Òµ´óѧÖܹóÒú¿ÎÌâ×éÕÐÉúÎïҽѧ¹¤³Ì£¨07¡¢08¶¼ÐУ©ºÍÉúÎïÓëÒ½Ò©£¨0860£©Ë¶Ê¿Éú
ÒѾÓÐ0È˻ظ´
¿¼ÑÐÇóµ÷¼Á
ÒѾÓÐ0È˻ظ´
2026ÄêÖÐÄÏÃñ×å´óѧ»¯Ñ§Óë²ÄÁÏ¿ÆÑ§Ñ§Ôºµ÷¼Á¹«¸æ
ÒѾÓÐ1È˻ظ´

¹ÈÖÐÃ÷
ÖÁ×ðľ³æ (ÖøÃûдÊÖ)
- ICEPI: 19
- Ó¦Öú: 1264 (½²Ê¦)
- ¹ó±ö: 0.482
- ½ð±Ò: 24134.7
- ºì»¨: 182
- Ìû×Ó: 2913
- ÔÚÏß: 1911.3Сʱ
- ³æºÅ: 1883403
- ×¢²á: 2012-07-08
- ÐÔ±ð: GG
- רҵ: ÈÈÁ¦Ñ§
¡¾´ð°¸¡¿Ó¦Öú»ØÌû
¡ï ¡ï ¡ï ¡ï ¡ï ¡ï ¡ï
¸Ðл²ÎÓ룬ӦÖúÖ¸Êý +1
ÊÅË®¿Í: ½ð±Ò+5, ¡ï¡ï¡ï¡ï¡ï×î¼Ñ´ð°¸, ËÙÂÊ·½³ÌÖгôÑõµÄŨ¶ÈÔÚÌâÉèÖÐΪ¶þ´Î·½¡½²½â·Ç³£Í¸³¹£¡¸Ðл£¡ 2015-10-16 20:52:12
±ùµã½µÎÂ: ½ð±Ò+2, лл»ØÌû£¬ÐÁ¿àÁË£¡ 2015-10-16 21:25:48
¸Ðл²ÎÓ룬ӦÖúÖ¸Êý +1
ÊÅË®¿Í: ½ð±Ò+5, ¡ï¡ï¡ï¡ï¡ï×î¼Ñ´ð°¸, ËÙÂÊ·½³ÌÖгôÑõµÄŨ¶ÈÔÚÌâÉèÖÐΪ¶þ´Î·½¡½²½â·Ç³£Í¸³¹£¡¸Ðл£¡ 2015-10-16 20:52:12
±ùµã½µÎÂ: ½ð±Ò+2, лл»ØÌû£¬ÐÁ¿àÁË£¡ 2015-10-16 21:25:48
6Â¥2015-10-16 19:59:49
¹ÈÖÐÃ÷
ÖÁ×ðľ³æ (ÖøÃûдÊÖ)
- ICEPI: 19
- Ó¦Öú: 1264 (½²Ê¦)
- ¹ó±ö: 0.482
- ½ð±Ò: 24134.7
- ºì»¨: 182
- Ìû×Ó: 2913
- ÔÚÏß: 1911.3Сʱ
- ³æºÅ: 1883403
- ×¢²á: 2012-07-08
- ÐÔ±ð: GG
- רҵ: ÈÈÁ¦Ñ§
¡ï
±ùµã½µÎÂ: ½ð±Ò+1, лл»ØÌû£¬ÐÁ¿àÁË£¡ 2015-10-16 21:26:17
±ùµã½µÎÂ: ½ð±Ò+1, лл»ØÌû£¬ÐÁ¿àÁË£¡ 2015-10-16 21:26:17
» ±¾ÌûÒÑ»ñµÃµÄºì»¨£¨×îÐÂ10¶ä£©
10Â¥2015-10-16 20:55:02
| ¶¥Ò»Ï = = |
2Â¥2015-10-16 19:00:57
chenpeng1991
ľ³æ (ÕýʽдÊÖ)
СÓÐÃûÆø
- Ó¦Öú: 4 (Ó×¶ùÔ°)
- ½ð±Ò: 5593.4
- É¢½ð: 70
- ºì»¨: 2
- Ìû×Ó: 629
- ÔÚÏß: 103.8Сʱ
- ³æºÅ: 2492038
- ×¢²á: 2013-06-01
- רҵ: È˹¤¾§Ìå
¡¾´ð°¸¡¿Ó¦Öú»ØÌû
¡ï
¸Ðл²ÎÓ룬ӦÖúÖ¸Êý +1
±ùµã½µÎÂ: ½ð±Ò+1, лл»ØÌû£¬»¶Ó³£À´ÎÞ»úÎﻯ°æ½»Á÷¡£ 2015-10-16 21:28:50
¸Ðл²ÎÓ룬ӦÖúÖ¸Êý +1
±ùµã½µÎÂ: ½ð±Ò+1, лл»ØÌû£¬»¶Ó³£À´ÎÞ»úÎﻯ°æ½»Á÷¡£ 2015-10-16 21:28:50
|
±¾ÈËÓÞ¼û ·¢×ÔСľ³æAndroid¿Í»§¶Ë |

3Â¥2015-10-16 19:22:51
ÊÅË®¿Í
ľ³æ (ÕýʽдÊÖ)
- Ó¦Öú: 0 (Ó×¶ùÔ°)
- ½ð±Ò: 3246.6
- ºì»¨: 1
- Ìû×Ó: 502
- ÔÚÏß: 73.1Сʱ
- ³æºÅ: 2839305
- ×¢²á: 2013-12-01
- ÐÔ±ð: GG
- רҵ: µç»¯Ñ§

4Â¥2015-10-16 19:31:01
»áÕß¶¨Àë1994
Òø³æ (ÕýʽдÊÖ)
- Ó¦Öú: 3 (Ó×¶ùÔ°)
- ½ð±Ò: 488.4
- É¢½ð: 228
- Ìû×Ó: 691
- ÔÚÏß: 64.2Сʱ
- ³æºÅ: 3961783
- ×¢²á: 2015-07-09
- ÐÔ±ð: GG
- רҵ: ÓлúºÏ³É
5Â¥2015-10-16 19:46:00
ÊÅË®¿Í
ľ³æ (ÕýʽдÊÖ)
- Ó¦Öú: 0 (Ó×¶ùÔ°)
- ½ð±Ò: 3246.6
- ºì»¨: 1
- Ìû×Ó: 502
- ÔÚÏß: 73.1Сʱ
- ³æºÅ: 2839305
- ×¢²á: 2013-12-01
- ÐÔ±ð: GG
- רҵ: µç»¯Ñ§

7Â¥2015-10-16 20:40:09
¹ÈÖÐÃ÷
ÖÁ×ðľ³æ (ÖøÃûдÊÖ)
- ICEPI: 19
- Ó¦Öú: 1264 (½²Ê¦)
- ¹ó±ö: 0.482
- ½ð±Ò: 24134.7
- ºì»¨: 182
- Ìû×Ó: 2913
- ÔÚÏß: 1911.3Сʱ
- ³æºÅ: 1883403
- ×¢²á: 2012-07-08
- ÐÔ±ð: GG
- רҵ: ÈÈÁ¦Ñ§
8Â¥2015-10-16 20:44:16
ÊÅË®¿Í
ľ³æ (ÕýʽдÊÖ)
- Ó¦Öú: 0 (Ó×¶ùÔ°)
- ½ð±Ò: 3246.6
- ºì»¨: 1
- Ìû×Ó: 502
- ÔÚÏß: 73.1Сʱ
- ³æºÅ: 2839305
- ×¢²á: 2013-12-01
- ÐÔ±ð: GG
- רҵ: µç»¯Ñ§

9Â¥2015-10-16 20:50:51














»Ø¸´´ËÂ¥
ÊÅË®¿Í