| 查看: 1919 | 回复: 1 | |
[求助]
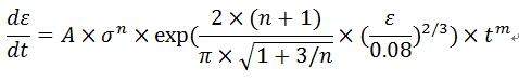
求助大神,如何用MATLAB拟合微分方程的参数,关键里面有两个自变量用三组数据拟合?
|
|
|
|
|
|
2楼2016-01-03 00:17:28
|
|













回复此楼
5