| ²é¿´: 499 | »Ø¸´: 0 | ||
10043216Ìú³æ (СÓÐÃûÆø)
|
[ÇóÖú]
ÇóÖú¸÷λ´óÉñ£¬ÈçºÎÓÃMATLABÄâºÏ΢·Ö·½³ÌµÄ²ÎÊý£¿
|
|
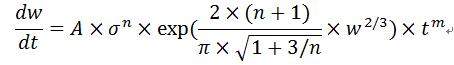
¹Ø¼üÊǵÃÓÃÈý×éÊý¾ÝÄâºÏµÃµ½£¬A£¬n,mµÄÖµ£¬ÆäÖÐÓ¦Á¦ÓÐÈý¸öÖµ£¬»¹ÓоÍÊÇËæÊ±¼ä±ä»¯µÄwÖµ£¬ÇëÎÊÕâÄÜʵÏÖÂ𣿣¿ ¹«Ê½.jpg |
» ²ÂÄãϲ»¶
¾°µÂÕòij¸ßУ»·¾³¹¤³Ìרҵ£¬Ðè´óÁ¿µ÷¼ÁÃû¶î
ÒѾÓÐ0È˻ظ´
¶þ´Îµ÷¼ÁÃû¶î13Ãû£¬»ª±±Àí¹¤´óѧ¿óÎï¼Ó¹¤¹¤³Ì·½Ïò½ÓÊÕµ÷¼ÁÑо¿Éú
ÒѾÓÐ4È˻ظ´
Óлú¸ß·Ö×Ó²ÄÁÏÂÛÎÄÈóÉ«/·ÒëÔõôÊÕ·Ñ?
ÒѾÓÐ271È˻ظ´
¶þ´Îµ÷¼ÁÃû¶î13Ãû£¬»ª±±Àí¹¤´óѧ¿óÎï¼Ó¹¤¹¤³Ì·½Ïò½ÓÊÕµ÷¼ÁÑо¿Éú
ÒѾÓÐ0È˻ظ´
¶þ´Îµ÷¼ÁÃû¶î13Ãû£¬»ª±±Àí¹¤´óѧ¿óÎï¼Ó¹¤¹¤³Ì·½Ïò½ÓÊÕµ÷¼ÁÑо¿Éú
ÒѾÓÐ8È˻ظ´
¶þ´Îµ÷¼ÁÃû¶î13Ãû£¬»ª±±Àí¹¤´óѧ¿óÎï¼Ó¹¤¹¤³Ì·½Ïò½ÓÊÕµ÷¼ÁÑо¿Éú
ÒѾÓÐ0È˻ظ´
»ª±±Àí¹¤´óѧ¿óÒµ¹¤³Ì½ÓÊÜ08µ÷¼Á QQ50858563
ÒѾÓÐ0È˻ظ´
ºÓÄÏʦ·¶´óѧ»·¾³Ñ§Ôº 2026Äê˶ʿÑо¿ÉúÕÐÉúµÚ¶þÅúµ÷¼Á֪ͨ
ÒѾÓÐ0È˻ظ´
Î÷°²¹ú¼Ò¼¶È˲ÅÍŶӣ¬ÕÐÊÕ×ÊÔ´Óë»·¾³×¨ÒµË¶Ê¿µ÷¼Á
ÒѾÓÐ0È˻ظ´













»Ø¸´´ËÂ¥