| 查看: 504 | 回复: 1 | ||
tandy_3964木虫 (著名写手)
|
[求助]
氧还原测试 已有1人参与
|
|
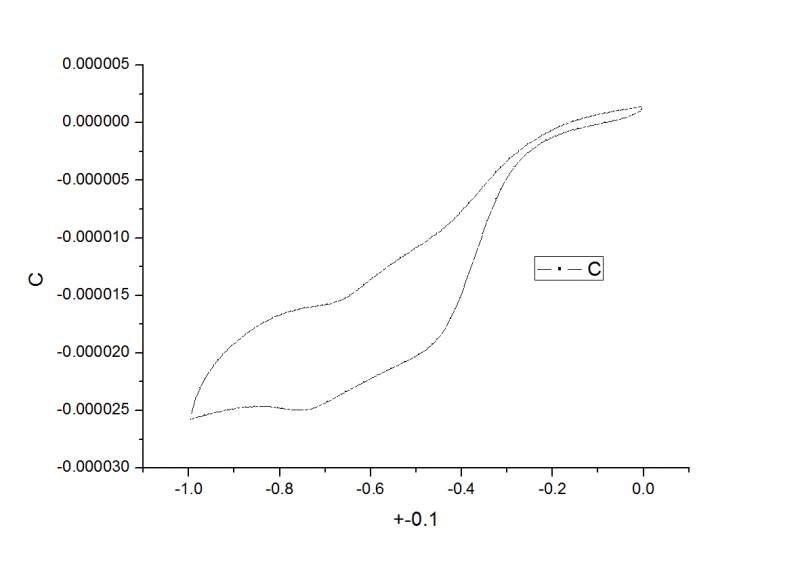
刚开始做氧还原反应,按照文献上的实验步骤进行了实验,但感觉自己的图和文献上很不一样啊。想请教大家其中的原因,以及请教大家做氧还原时需要注意的地方,谢谢大家了。 我的材料是PtNi负载在含氮炭材料上,参比电极是饱和AgCl,电解液是0.1M的KOH,在饱和氧气中进行了循环伏安扫描,扫速10mV/s。图见附件 2.jpg |
» 猜你喜欢
化学-化工-材料-食品-生物-环境2026年研究生调剂(可以不考数学)
已经有0人回复
化学-化工-材料-食品-生物-环境-农业 2026年研究生调剂(可以不考数学)
已经有1人回复
物理化学论文润色/翻译怎么收费?
已经有161人回复
070300一志愿211,312分求调剂院校
已经有12人回复
26年储能、电池方向博士申请
已经有0人回复
070300化学求调剂
已经有11人回复
青岛大学化学化工学院2026年招收调剂硕士研究生
已经有0人回复
北方工业大学085808储能技术-02方向(电池)接收调剂生
已经有0人回复
272求调剂,接受跨专业调剂!
已经有3人回复
有一区TOP论文,求调剂
已经有16人回复
大连工业大学杰青/长江团队-生物质材料-储能电池方向招收2026级博士生
已经有4人回复
» 本主题相关商家推荐: (我也要在这里推广)
h569662697
金虫 (正式写手)
- 应助: 3 (幼儿园)
- 金币: 1298.2
- 散金: 974
- 红花: 10
- 帖子: 473
- 在线: 670.7小时
- 虫号: 857226
- 注册: 2009-09-26
- 性别: GG
- 专业: 无机纳米化学

2楼2015-10-15 23:14:17














回复此楼