24小时热门版块排行榜    

查看: 422  |  回复: 1

yanghanjiang

新虫 (小有名气)

[求助] 大神来解方程组

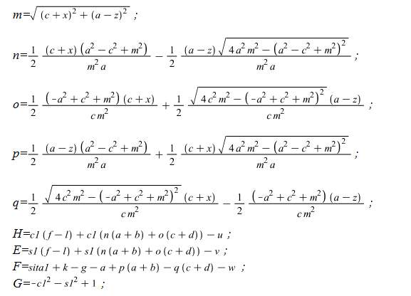
有一个多项式方程组需要求解,其中H、E、F、G构成方程组,c1、s1、x、z为需要求解的未知数,方程中其他字母全为已知数。请大神求解,是否有解析解,是否能用matlab解出其符号解,是否能用下面的maple语句解出其符号解?方程组如下图所示。
maple语句如下所示(刚刚接触maple)。
m:=sqrt((c+x)^2+(a-z)^2);
n:=((c+x)/m)*((m^2+a^2-c^2)/(2*a*m))-((a-z)/m)*((sqrt(4*a^2*m^2-(m^2-c^2+a^2)^2))/(2*a*m));
o:=((m^2+c^2-a^2)/(2*c*m))*((c+x)/m)+((sqrt(4*c^2*m^2-(m^2+c^2-a^2)^2))/(2*c*m))*((a-z)/m);
p:=((a-z)/m)*((m^2+a^2-c^2)/(2*a*m))+((c+x)/m)*((sqrt(4*a^2*m^2-(m^2-c^2+a^2)^2))/(2*a*m));
q:=((sqrt(4*c^2*m^2-(m^2+c^2-a^2)^2))/(2*c*m))*((x+c)/m)-((m^2+c^2-a^2)/(2*c*m))*((a-z)/m);
H:=c1*(f-l)+c1*(n*(a+b)+o*(c+d))-u;
E:=s1*(f-l)+s1*(n*(a+b)+o*(c+d))-v;
F:=sita1+k-g-a+p*(a+b)-q*(c+d)-w;
G:=c1^2+s1^2-1;
solve([H,E,F,G],[s1,c1,x,z]);

大神来解方程组
方程组
回复此楼

» 猜你喜欢

已阅   回复此楼   关注TA 给TA发消息 送TA红花 TA的回帖

yanghanjiang

新虫 (小有名气)

H、E、F、G等于零
2楼2015-10-13 16:53:28
已阅   回复此楼   关注TA 给TA发消息 送TA红花 TA的回帖
相关版块跳转 我要订阅楼主 yanghanjiang 的主题更新
最具人气热帖推荐 [查看全部] 作者 回/看 最后发表
[考研] 085700资源与环境308求调剂 +11 墨墨漠 2026-03-18 12/600 2026-03-20 19:43 by 丁丁*
[考研] 一志愿南理工085701环境302求调剂院校 +3 葵梓卫队 2026-03-20 3/150 2026-03-20 19:28 by zhukairuo
[考研] 22408 344分 求调剂 一志愿 华电计算机技术 +3 solanXXX 2026-03-20 3/150 2026-03-20 16:41 by fxue1114
[考研] 求调剂 +3 暗涌afhb 2026-03-16 3/150 2026-03-20 00:28 by 河南大学校友
[论文投稿] 申请回稿延期一个月,编辑同意了。但系统上的时间没变,给编辑又写邮件了,没回复 10+3 wangf9518 2026-03-17 4/200 2026-03-19 23:55 by babero
[考研] 一志愿南京理工大学085701资源与环境302分求调剂 +3 葵梓卫队 2026-03-18 5/250 2026-03-19 19:35 by 给你你注意休息
[考研] 化学求调剂 +3 临泽境llllll 2026-03-17 4/200 2026-03-19 13:59 by houyaoxu
[考研] 一志愿福大288有机化学,求调剂 +3 小木虫200408204 2026-03-18 3/150 2026-03-19 13:31 by houyaoxu
[考研] 0817调剂 +3 没有答案_ 2026-03-14 3/150 2026-03-19 09:51 by Xu de nuo
[考研] 材料工程专硕调剂 +5 204818@lcx 2026-03-17 6/300 2026-03-18 22:55 by 204818@lcx
[考研] 330求调剂 +3 小材化本科 2026-03-18 3/150 2026-03-18 21:55 by 无懈可击111
[考研] 311求调剂 +4 冬十三 2026-03-18 4/200 2026-03-18 21:47 by 尽舜尧1
[考研] 材料专硕306英一数二 +10 z1z2z3879 2026-03-16 13/650 2026-03-18 14:20 by 007_lilei
[考研] 0854,计算机类招收调剂 +3 胡辣汤放糖 2026-03-15 6/300 2026-03-18 12:09 by 上岸上岸……..
[考研] 290求调剂 +3 p asserby. 2026-03-15 4/200 2026-03-17 16:35 by wangkm
[考研] 275求调剂 +4 太阳花天天开心 2026-03-16 4/200 2026-03-17 10:53 by 功夫疯狂
[论文投稿] 有没有大佬发小论文能带我个二作 +3 增锐漏人 2026-03-17 4/200 2026-03-17 09:26 by xs74101122
[考研] 333求调剂 +3 文思客 2026-03-16 7/350 2026-03-16 18:21 by 文思客
[考研] 0856专硕279求调剂 +5 加油加油!? 2026-03-15 5/250 2026-03-15 11:58 by 2020015
[考研] 本科南京大学一志愿川大药学327 +3 麦田耕者 2026-03-14 3/150 2026-03-14 20:04 by 外星文明
信息提示
请填处理意见