| 查看: 875 | 回复: 15 | ||
[交流]
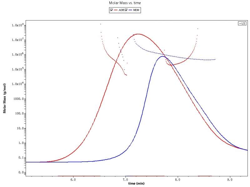
凝胶色谱GPC结果
|
||
» 本主题相关价值贴推荐,对您同样有帮助:
GPC凝胶色谱交流
已经有2人回复
凝胶色谱GPC数据分析交流
已经有1人回复
凝胶色谱测定:降解后的聚丙烯酰胺的凝胶色谱图,麻烦看下哪个图的效果好呢?
已经有0人回复
凝胶渗透色谱测试结果处理
已经有0人回复
凝胶色谱GPC
已经有33人回复
» 抢金币啦!回帖就可以得到:
福建师范大学叶应祥课题组招收2026级博士研究生
+2/132
香港中文大学(深圳)靳羽华教授交叉实验室高薪诚聘博士后(光致变色方向)
+2/130
西南交通大学医学院招收生物医学工程和材料与化工专业硕士研究生
+1/88
祈福2026国基面上项目
+5/85
招收调剂生,动物医学专业
+1/84
中山大学环境材料团队招聘
+1/84
招收材料与化学相关专业硕士研究生
+1/80
春天就该逛吃逛吃
+1/79
中国药科大学211-课题组招收2026博士/硕士-有机化学合成-26年9月入学(还有名额)
+1/48
河南工学院诚聘优秀凝聚态物理和电子科学与技术相关专业硕博研究生
+2/30
中科院物理所二维材料方向招收推免研究生
+1/15
湖南大学微生物结构与功能实验室2026年计划招收博士研究生
+1/14
诚挚招生(硕士+博士)
+1/12
环境工程专业 2026年硕士研究生调剂名额(有学硕1名,专硕2名)
+1/6
武汉高校国家级人才团队招收材料,化学,纺织等专业硕士调剂生
+2/4
MDPI下IJMS投稿 pending editor decision 9天
+1/3
哈工大马樱教授招收2026级计算机类、集成电路类博士生(报名时间3月30号截止!)
+1/3
中科院上海微系统所材料生长理论与仿真课题组-博士后招聘(材料计算与AI4S)
+1/1
欢迎加入赣南师范大学先进光电子研究中心
+1/1
26申博自荐
+1/1
2楼2015-10-11 16:48:34
3楼2015-10-11 16:48:56
6楼2015-10-11 17:03:11
13楼2015-10-11 17:09:09
15楼2015-10-11 17:54:40
简单回复
核桃芝麻4楼
2015-10-11 16:50
回复
林少(金币+2): 谢谢参与
dmbb5楼
2015-10-11 16:57
回复
林少(金币+2): 谢谢参与
mhycpxir7楼
2015-10-11 17:06
回复
林少(金币+2): 谢谢参与

[ 发自手机版 http://muchong.com/3g ]
pctajy8楼
2015-10-11 17:06
回复
林少(金币+2): 谢谢参与
[ 发自手机版 http://muchong.com/3g ]
wblxcs9楼
2015-10-11 17:06
回复
林少(金币+2): 谢谢参与
[ 发自手机版 http://muchong.com/3g ]
ahsjlyu10楼
2015-10-11 17:06
回复
林少(金币+2): 谢谢参与
, [ 发自手机版 http://muchong.com/3g ]
vcokcb11楼
2015-10-11 17:06
回复
林少(金币+2): 谢谢参与

[ 发自手机版 http://muchong.com/3g ]
ooxmfc12楼
2015-10-11 17:06
回复
林少(金币+2): 谢谢参与
[ 发自手机版 http://muchong.com/3g ]
shenrenren14楼
2015-10-11 17:20
回复
棒棒糖~16楼
2015-10-12 21:34
回复













回复此楼
林少