| ²é¿´: 3803 | »Ø¸´: 2 | |
yaya0129ľ³æ (ÕýʽдÊÖ)
|
[ÇóÖú]
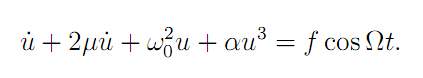
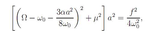
matlab»¶Å·ÒÕñ×Ó·ùƵÏìÓ¦ÇúÏßµÄÎÊÌâduffing equation
|
|
|
|
jesseliuxl½ð³æ (СÓÐÃûÆø)
|
|
![]() |
|
|
2Â¥2016-09-21 18:48:47
|
|
Çà´ºÊÖÒÕÈËгæ (³õÈëÎÄ̳)
|
|
|
3Â¥2018-05-04 10:53:36
|
|













»Ø¸´´ËÂ¥
