| ²é¿´: 289 | »Ø¸´: 1 | |||
ÑøÖ»¹·½Ð°¡Ã¨×¨¼Ò¹ËÎÊ
|
[½»Á÷]
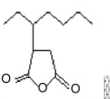
ÒÔPP-g-MAHΪÖмäÌ壬֯±¸PP-g-PEGµÄ·´Ó¦ÖУ¬Òª¼ÓÈëÂíÀ´Ëáôû×÷Òý·¢¼Á
|
|
ÒÔPP-g-MAHΪÖмäÌ壬¹ÌÏàÖÆ±¸PP-g-PEGµÄ·´Ó¦ÖУ¬Òª¼ÓÈëDCP×÷Òý·¢¼Á£¬ÕâÀïµÄDCPÊÇÓÃÀ´Ê¹ÂíÀ´Ëáôû¿ª»·µÄÂð£¿Çó½â°¡ $]AL[`RNL2]RUIILYT$CKTN.png |
» ²ÂÄãϲ»¶
²ÄÁÏר˶322·Ö
ÒѾÓÐ5È˻ظ´
273Çóµ÷¼Á
ÒѾÓÐ17È˻ظ´
²ÄÁÏ¿ÆÑ§Ó빤³Ì339Çóµ÷¼Á
ÒѾÓÐ12È˻ظ´
332Çóµ÷¼Á
ÒѾÓÐ8È˻ظ´
Ò»Ö¾Ô¸±±½»´ó²ÄÁϹ¤³Ì×Ü·Ö358
ÒѾÓÐ8È˻ظ´
319Çóµ÷¼Á
ÒѾÓÐ7È˻ظ´
266·Ö£¬Ò»Ö¾Ô¸µçÆø¹¤³Ì£¬±¾¿Æ²ÄÁÏ£¬Çó²ÄÁÏרҵµ÷¼Á
ÒѾÓÐ4È˻ظ´
307·ÖÇóµ÷¼Á
ÒѾÓÐ12È˻ظ´
0817»¯¹¤Ñ§Ë¶µ÷¼Á
ÒѾÓÐ9È˻ظ´
320·Ö£¬²ÄÁÏÓ뻯¹¤×¨Òµ£¬Çóµ÷¼Á
ÒѾÓÐ16È˻ظ´

ÑøÖ»¹·½Ð°¡Ã¨
¶Ò»»¹ó±ö
![]()
![]()
![]()
![]()
- Ó¦Öú: 10 (Ó×¶ùÔ°)
- ½ð±Ò: 1316.8
- É¢½ð: 190
- ºì»¨: 7
- Ìû×Ó: 419
- ÔÚÏß: 131.8Сʱ
- ³æºÅ: 1826173
- ×¢²á: 2012-05-19
- ÐÔ±ð: GG
- רҵ: ¸ß·Ö×ÓÎïÀíÓë¸ß·Ö×ÓÎïÀí»¯

2Â¥2015-10-10 21:14:55














»Ø¸´´ËÂ¥