版块导航
正在加载中...
客户端APP下载
登录
注册
帖子
帖子
用户
本版
应《网络安全法》要求,自2017年10月1日起,未进行实名认证将不得使用互联网跟帖服务。为保障您的帐号能够正常使用,请尽快对帐号进行手机号验证,感谢您的理解与支持!
24小时热门版块排行榜
>
论坛更新日志
(2935)
>
文献求助
(184)
>
导师招生
(158)
>
虫友互识
(152)
>
考博
(81)
>
招聘信息布告栏
(64)
>
硕博家园
(62)
>
休闲灌水
(59)
>
基金申请
(49)
>
仿真模拟
(39)
>
博后之家
(30)
>
学术会议
(29)
>
论文投稿
(29)
>
绿色求助(高悬赏)
(23)
>
找工作
(23)
>
工艺技术
(22)
小木虫论坛-学术科研互动平台
»
计算模拟区
»
计算模拟
»
其他
»
请问下面这个积分怎么积呢?
21
1/1
返回列表
查看: 1236 | 回复: 20
只看楼主
@他人
存档
新回复提醒
(忽略)
收藏
在APP中查看
qingaibing13
金虫
(著名写手)
应助: 0
(幼儿园)
金币: 204.5
帖子: 1143
在线: 145.2小时
虫号: 3612002
[交流]
请问下面这个积分怎么积呢?
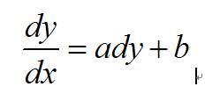
请各位牛人们看看这个积分怎么积,dy/dx=a*dy+b
gongshi.jpg
回复此楼
» 猜你喜欢
中国科学院东莞材料科学与技术研究所-2026年博士招生-吴昊研究员-磁学与自旋电子学
已经有0人回复
《电磁学》教材推荐
已经有1人回复
物理学I论文润色/翻译怎么收费?
已经有83人回复
【急招】合肥工大核聚变材料计算方向2026级工程博士生
已经有4人回复
大豆异黄酮分离
已经有0人回复
湖南大学材料学院急招2026年博士生,临时增加一名博士联培指标
已经有10人回复
天津理工大学晶体材料全国重点实验室刘红军教授课题组招收博士生1-2名
已经有1人回复
中国科学院物理研究所谌志国研究员团队招收2027年博士研究生
已经有3人回复
2026年中德博士后交流项目 - 新型量子和磁性材料:材料制备表征和中子散射研究
已经有12人回复
高级回复
» 本主题相关价值贴推荐,对您同样有帮助:
考研福利! 2014考研数学必看 张宇各种答疑解惑!
已经有5人回复
» 抢金币啦!回帖就可以得到:
查看全部散金贴
祝大家学业有成,工作顺利,生意兴隆
+
1
/942
中科院深圳先进技术研究院集成电路先进封装博士后招聘
+
1
/280
征结婚对象,男找女,坐标【北京】【北京】【北京】
+
5
/225
新西兰奥克兰大学计算机CS招PhD及访问学者
+
1
/83
中科院深圳先进技术研究院集成电路先进封装博士后招聘
+
1
/81
南京农业大学工学院博士招生 1个名额
+
1
/72
【急招】 北京工业大学 第二批博士申请-杰青课题组1-2名额,25日截止!!
+
1
/41
上海理工大学-赵斌教授课题组招收申请考核制博士【新能源材料】
+
1
/21
【急招】 北京工业大学 能动第二批博士申请-杰青课题组1-2名额,25日截止!!
+
1
/14
南京农业大学2026年申请考核制博士招生:最后一批啦!
+
1
/12
哪位大神能使用lammps软件的reaxff力场计算煤和塑料热解的分子动力学,有偿
+
1
/11
深圳大学物理与光电工程学院/深圳先进光源研究院招收2026级联合培养博士生
+
1
/11
盤後看下來,資金沒退,也算是吃上了。
+
1
/10
合成
+
1
/8
【有偿访谈招募】高才通来港后,你过得还好吗?
+
1
/8
中科院博士后/特别研究助理招聘(光学工程、仪器科学、机械、电子、控制)
+
1
/6
重庆新桥医院临床研究助理招聘
+
1
/4
博士后招聘(高薪40万+)
+
1
/3
郑州大学2026年材料科学与工程学术博士有名额,这几天报名!有意向联系!
+
1
/3
中科院福建物构所(福州)国家杰青、青拔团队招特别研究助理(博士后)2-3名
+
1
/1
1楼
2015-10-09 16:42:29
已阅
回复此楼
关注TA
给TA发消息
送TA红花
TA的回帖
qingaibing13
金虫
(著名写手)
应助: 0
(幼儿园)
金币: 204.5
帖子: 1143
在线: 145.2小时
虫号: 3612002
谢谢你们的支持,更希望你们能给点实质的建议呀
发自小木虫Android客户端
赞
一下
回复此楼
12楼
2015-10-09 17:49:00
已阅
回复此楼
关注TA
给TA发消息
送TA红花
TA的回帖
shenyxtata
金虫
(正式写手)
应助: 111
(高中生)
金币: 143.4
帖子: 624
在线: 177.4小时
虫号: 3247675
右边是不是多写了个d?
赞
一下
回复此楼
13楼
2015-10-09 19:52:21
已阅
回复此楼
关注TA
给TA发消息
送TA红花
TA的回帖
qingaibing13
金虫
(著名写手)
应助: 0
(幼儿园)
金币: 204.5
帖子: 1143
在线: 145.2小时
虫号: 3612002
引用回帖:
13楼
:
Originally posted by
shenyxtata
at 2015-10-09 19:52:21
右边是不是多写了个d?
没有,就是因为是微分所以不会了
发自小木虫Android客户端
赞
一下
回复此楼
14楼
2015-10-09 20:15:55
已阅
回复此楼
关注TA
给TA发消息
送TA红花
TA的回帖
shenyxtata
金虫
(正式写手)
应助: 111
(高中生)
金币: 143.4
帖子: 624
在线: 177.4小时
虫号: 3247675
★
小木虫: 金币+0.5, 给个红包,谢谢回帖
确定?右边第一项是个无穷小量,其他项都是有限的。直接把无穷小拿掉就好。或者仔细检查前面的步骤?
发自小木虫Android客户端
赞
一下
回复此楼
15楼
2015-10-09 20:20:36
已阅
回复此楼
关注TA
给TA发消息
送TA红花
TA的回帖
qingaibing13
金虫
(著名写手)
应助: 0
(幼儿园)
金币: 204.5
帖子: 1143
在线: 145.2小时
虫号: 3612002
引用回帖:
15楼
:
Originally posted by
shenyxtata
at 2015-10-09 20:20:36
确定?右边第一项是个无穷小量,其他项都是有限的。直接把无穷小拿掉就好。或者仔细检查前面的步骤?
不是无穷小量,是一个数,参数都是已知的,现在我想求y与x的关系,不知道怎么求解析式了,你有什么好建议吗
发自小木虫Android客户端
赞
一下
回复此楼
16楼
2015-10-09 21:00:20
已阅
回复此楼
关注TA
给TA发消息
送TA红花
TA的回帖
shenyxtata
金虫
(正式写手)
应助: 111
(高中生)
金币: 143.4
帖子: 624
在线: 177.4小时
虫号: 3247675
★
小木虫: 金币+0.5, 给个红包,谢谢回帖
右边的d到底代表什么?怎么来的?
发自小木虫Android客户端
赞
一下
回复此楼
17楼
2015-10-09 23:32:37
已阅
回复此楼
关注TA
给TA发消息
送TA红花
TA的回帖
bashan
禁虫
(正式写手)
★
小木虫: 金币+0.5, 给个红包,谢谢回帖
本帖内容被屏蔽
18楼
2015-10-10 07:57:18
已阅
回复此楼
关注TA
给TA发消息
送TA红花
TA的回帖
shuxue2012
金虫
(小有名气)
应助: 0
(幼儿园)
金币: 1356
帖子: 169
在线: 100.7小时
虫号: 1928755
★
小木虫: 金币+0.5, 给个红包,谢谢回帖
做一个平移伸缩变换,可以把常数消掉,再按齐次一階常微分方程算就可以了,可以参考高等数学教材,上面有。
发自小木虫Android客户端
赞
一下
回复此楼
19楼
2015-10-10 12:33:14
已阅
回复此楼
关注TA
给TA发消息
送TA红花
TA的回帖
张松阳
新虫
(小有名气)
应助: 0
(幼儿园)
金币: 2733.9
帖子: 108
在线: 101.2小时
虫号: 4022613
★
小木虫: 金币+0.5, 给个红包,谢谢回帖
楼主,这个有公式的,y'+p(X)y=Q(X),有通解公式,请百度。
发自小木虫Android客户端
赞
一下
回复此楼
20楼
2015-10-10 21:09:47
已阅
回复此楼
关注TA
给TA发消息
送TA红花
TA的回帖
1592203609
荣誉版主
(知名作家)
应助: 254
(大学生)
贵宾: 0.37
金币: 35192.7
帖子: 5653
在线: 2195.1小时
虫号: 1766262
★
小木虫: 金币+0.5, 给个红包,谢谢回帖
变形,再凑一下就可以了
发自小木虫Android客户端
赞
一下
回复此楼
21楼
2015-10-11 15:55:44
已阅
回复此楼
关注TA
给TA发消息
送TA红花
TA的回帖
简单回复
123木头羊
2楼
2015-10-09 16:49
回复
qingaibing13(金币+1): 谢谢参与
。
发自小木虫Android客户端
liucheng883
3楼
2015-10-09 16:54
回复
qingaibing13(金币+1): 谢谢参与
yinghongf
4楼
2015-10-09 16:56
回复
qingaibing13(金币+1): 谢谢参与
祝福
jingranb
5楼
2015-10-09 16:56
回复
qingaibing13(金币+1): 谢谢参与
yuli39m
6楼
2015-10-09 16:56
回复
qingaibing13(金币+1): 谢谢参与
祝福
yidiep
7楼
2015-10-09 16:56
回复
qingaibing13(金币+1): 谢谢参与
祝福
limengf
8楼
2015-10-09 16:57
回复
qingaibing13(金币+1): 谢谢参与
支持
naergf
9楼
2015-10-09 16:57
回复
qingaibing13(金币+1): 谢谢参与
祝福
dmbb
10楼
2015-10-09 16:57
回复
qingaibing13(金币+1): 谢谢参与
xihejunl
11楼
2015-10-09 16:58
回复
qingaibing13(金币+1): 谢谢参与
相关版块跳转
第一性原理
量子化学
计算模拟
分子模拟
仿真模拟
程序语言
我要订阅楼主
qingaibing13
的主题更新
21
1/1
返回列表
如果回帖内容含有宣传信息,请如实选中。否则帐号将被全论坛禁言
普通表情
龙
兔
虎
猫
高级回复
(可上传附件)
百度网盘
|
360云盘
|
千易网盘
|
华为网盘
在新窗口页面中打开自己喜欢的网盘网站,将文件上传后,然后将下载链接复制到帖子内容中就可以了。
信息提示
关闭
请填处理意见
关闭
确定