| 查看: 1264 | 回复: 1 | |||
[求助]
如何通过两个符号方程求两个未知数 已有1人参与
|
|
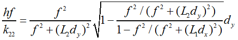
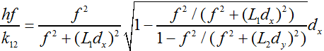
我想要通过两个方程求两个未知数 方程是 里面除了dx和dy是要求解的未知量外,其他两都是已知的 请问一下在matlab里面怎么做可以求出dx和dy的表达式? 如果用符号来表示,是不是不能求出近似的解? |
» 猜你喜欢
专硕085601求调剂
已经有6人回复
282求调剂 不挑专业 求收留
已经有6人回复
材料专硕 调剂
已经有7人回复
285求调剂
已经有6人回复
280求调剂
已经有17人回复
工科 267求调剂
已经有6人回复
调剂
已经有5人回复
材料调剂
已经有13人回复
315求调剂
已经有3人回复
270求调剂
已经有4人回复
512095518
专家顾问 (正式写手)
-

专家经验: +52 - 仿真EPI: 1
- 应助: 118 (高中生)
- 金币: 7665.4
- 红花: 78
- 帖子: 712
- 在线: 186.1小时
- 虫号: 3195576
- 注册: 2014-05-10
- 性别: GG
- 专业: 大气环境与全球气候变化
- 管辖: 计算模拟

2楼2015-10-14 16:08:17














回复此楼
10