| 查看: 1843 | 回复: 3 | ||
445853721银虫 (小有名气)
|
[求助]
怎么从应力与应变数据中得到真应变与加工硬化的关系图 已有2人参与
|
|
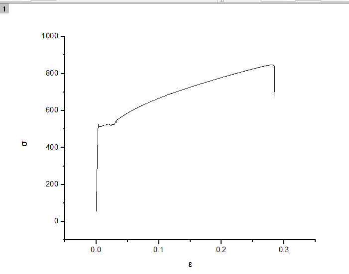
新手初学,下图为真应力与应变图,怎么把下降的那段删除。怎么从真应力与应变数据中用origin得到真应变与加工硬化指数的关系图,求具体步骤,得到类似文献那种,非常感谢!!!! 真应力与应变.png 文献真应力与n的关系.png |
» 本帖附件资源列表
-
欢迎监督和反馈:小木虫仅提供交流平台,不对该内容负责。
本内容由用户自主发布,如果其内容涉及到知识产权问题,其责任在于用户本人,如对版权有异议,请联系邮箱:xiaomuchong@tal.com - 附件 1 : 真应力与应变.txt
2015-10-07 20:44:28, 428.41 K
» 猜你喜欢
一志愿华中农业071010,320求调剂
已经有10人回复
材料工程281还有调剂机会吗
已经有43人回复
291求调剂
已经有5人回复
085801电气专硕272求调剂
已经有18人回复
296求调剂
已经有11人回复
求调剂学校
已经有14人回复
药学求调剂
已经有9人回复
复试调剂
已经有22人回复
求调剂推荐
已经有5人回复
山东省基金2026
已经有10人回复
peterflyer
木虫之王 (文学泰斗)
peterflyer
- MM-EPI: 2
- 应助: 20282 (院士)
- 金币: 146254
- 红花: 1374
- 帖子: 93091
- 在线: 7694.3小时
- 虫号: 1482829
- 注册: 2011-11-08
- 性别: GG
- 专业: 功能陶瓷
2楼2015-10-08 15:21:11
445853721
银虫 (小有名气)
- 应助: 1 (幼儿园)
- 金币: 1257.3
- 散金: 150
- 红花: 1
- 帖子: 102
- 在线: 82.1小时
- 虫号: 3572956
- 注册: 2014-12-02
- 专业: 金属材料的合金相、相变及
3楼2015-10-08 19:30:16
4楼2016-01-15 10:42:39














回复此楼