±±¾©Ê¯ÓÍ»¯¹¤Ñ§Ôº2026ÄêÑо¿ÉúÕÐÉú½ÓÊÕµ÷¼Á¹«¸æ
²é¿´: 927  |  »Ø¸´: 10

ÎÞÁ¿Ðdz½º£

½ð³æ (СÓÐÃûÆø)

1248

[ÇóÖú] Çó¼ÆËãÁ½µÀÎﻯÌ⣡£¡£¡ÊÇ¿¼ÑÐÌâÄ¿¡­ ÒÑÓÐ1È˲ÎÓë

ÄÄλÄܰï°ïæ°¡£¡£¡£¡

Çó¼ÆËãÁ½µÀÎﻯÌ⣡£¡£¡ÊÇ¿¼ÑÐÌâÄ¿¡­


·¢×ÔСľ³æAndroid¿Í»§¶Ë
»Ø¸´´ËÂ¥

» ²ÂÄãϲ»¶

» ±¾Ö÷ÌâÏà¹ØÉ̼ÒÍÆ¼ö: (ÎÒÒ²ÒªÔÚÕâÀïÍÆ¹ã)

ŬÁ¦°ÉÉÙÄ꣡
ÒÑÔÄ   »Ø¸´´ËÂ¥   ¹Ø×¢TA ¸øTA·¢ÏûÏ¢ ËÍTAºì»¨ TAµÄ»ØÌû

ÎÞÁ¿Ðdz½º£

½ð³æ (СÓÐÃûÆø)

1248

ÊǵڶþºÍµÚÈýÌ⣡£¡

·¢×ÔСľ³æAndroid¿Í»§¶Ë
ŬÁ¦°ÉÉÙÄ꣡
2Â¥2015-10-02 16:40:36
ÒÑÔÄ   »Ø¸´´ËÂ¥   ¹Ø×¢TA ¸øTA·¢ÏûÏ¢ ËÍTAºì»¨ TAµÄ»ØÌû

¹ÈÖÐÃ÷

ÖÁ×ðľ³æ (ÖøÃûдÊÖ)

¡¾´ð°¸¡¿Ó¦Öú»ØÌû

¡ï ¡ï ¡ï ¡ï ¡ï ¡ï ¡ï ¡ï ¡ï ¡ï ¡ï ¡ï
¸Ðл²ÎÓ룬ӦÖúÖ¸Êý +1
±ùµã½µÎÂ: ½ð±Ò+2, лл»ØÌû£¬ÐÁ¿àÁË~ 2015-10-02 23:25:33
ÎÞÁ¿Ðdz½º£: ½ð±Ò+10 2015-10-03 13:31:37
µÚ¶þÌâµÄÏêϸ½â´ð¼û¸½Í¼¡£
Çó¼ÆËãÁ½µÀÎﻯÌ⣡£¡£¡ÊÇ¿¼ÑÐÌâÄ¿¡­-1
¸Ê°±Ëá.jpg

3Â¥2015-10-02 20:04:35
ÒÑÔÄ   »Ø¸´´ËÂ¥   ¹Ø×¢TA ¸øTA·¢ÏûÏ¢ ËÍTAºì»¨ TAµÄ»ØÌû

ÎÞÁ¿Ðdz½º£

½ð³æ (СÓÐÃûÆø)

1248

ÒýÓûØÌû:
3Â¥: Originally posted by ¹ÈÖÐÃ÷ at 2015-10-02 20:04:35
µÚ¶þÌâµÄÏêϸ½â´ð¼û¸½Í¼¡£

¸Ê°±Ëá.jpg

»î¶ÈÓÐÎÊÌâ°É£¿£¿£¿

·¢×ÔСľ³æAndroid¿Í»§¶Ë
ŬÁ¦°ÉÉÙÄ꣡
4Â¥2015-10-02 21:08:36
ÒÑÔÄ   »Ø¸´´ËÂ¥   ¹Ø×¢TA ¸øTA·¢ÏûÏ¢ ËÍTAºì»¨ TAµÄ»ØÌû

¹ÈÖÐÃ÷

ÖÁ×ðľ³æ (ÖøÃûдÊÖ)

ÒýÓûØÌû:
4Â¥: Originally posted by ÎÞÁ¿Ðdz½º£ at 2015-10-02 21:08:36
»î¶ÈÓÐÎÊÌâ°É£¿£¿£¿
...

ÓÐʲôÎÊÌ⣿
5Â¥2015-10-02 21:19:10
ÒÑÔÄ   »Ø¸´´ËÂ¥   ¹Ø×¢TA ¸øTA·¢ÏûÏ¢ ËÍTAºì»¨ TAµÄ»ØÌû

ÎÞÁ¿Ðdz½º£

½ð³æ (СÓÐÃûÆø)

1248

ÒýÓûØÌû:
5Â¥: Originally posted by ¹ÈÖÐÃ÷ at 2015-10-02 21:19:10
ÓÐʲôÎÊÌ⣿...

Äܲ»ÄܰïæËãһϵÚÈýÌâ¡­¡­

·¢×ÔСľ³æAndroid¿Í»§¶Ë
ŬÁ¦°ÉÉÙÄ꣡
6Â¥2015-10-03 13:32:23
ÒÑÔÄ   »Ø¸´´ËÂ¥   ¹Ø×¢TA ¸øTA·¢ÏûÏ¢ ËÍTAºì»¨ TAµÄ»ØÌû

¹ÈÖÐÃ÷

ÖÁ×ðľ³æ (ÖøÃûдÊÖ)

¡¾´ð°¸¡¿Ó¦Öú»ØÌû

¡ï ¡ï
±ùµã½µÎÂ: ½ð±Ò+2, лл»ØÌû£¬ÐÁ¿àÁË~ 2015-10-04 11:08:51
ÒýÓûØÌû:
6Â¥: Originally posted by ÎÞÁ¿Ðdz½º£ at 2015-10-03 13:32:23
Äܲ»ÄܰïæËãһϵÚÈýÌâ¡­¡­
...

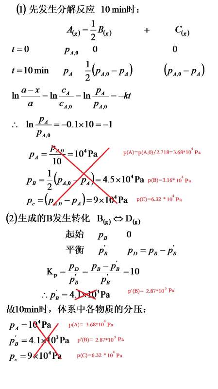
µÚÈýÌâµÄÏêϸ½â´ð£¬·Ö½â·´Ó¦ÓëÆ½ºâ¿É·Ö±ð´¦Àí¡£
Çó¼ÆËãÁ½µÀÎﻯÌ⣡£¡£¡ÊÇ¿¼ÑÐÌâÄ¿¡­-2
ÊÔÌâ3-1.jpg

7Â¥2015-10-03 15:29:09
ÒÑÔÄ   »Ø¸´´ËÂ¥   ¹Ø×¢TA ¸øTA·¢ÏûÏ¢ ËÍTAºì»¨ TAµÄ»ØÌû

¹ÈÖÐÃ÷

ÖÁ×ðľ³æ (ÖøÃûдÊÖ)

¡¾´ð°¸¡¿Ó¦Öú»ØÌû

¡ï ¡ï ¡ï ¡ï ¡ï ¡ï ¡ï ¡ï ¡ï ¡ï ¡ï ¡ï
ÎÞÁ¿Ðdz½º£: ½ð±Ò+10 2015-10-03 19:51:54
±ùµã½µÎÂ: ½ð±Ò+2, лл»ØÌû£¬ÐÁ¿àÁË~ 2015-10-04 11:19:58
ÒýÓûØÌû:
7Â¥: Originally posted by ¹ÈÖÐÃ÷ at 2015-10-03 15:29:09
µÚÈýÌâµÄÏêϸ½â´ð£¬·Ö½â·´Ó¦ÓëÆ½ºâ¿É·Ö±ð´¦Àí¡£

ÊÔÌâ3-1.jpg
...

¸üÕý£º°Ñ×ÔÈ»¶ÔÊý°´³£ÓöÔÊý´¦ÀíÁË£¬Ìش˸üÕý¡£
Çó¼ÆËãÁ½µÀÎﻯÌ⣡£¡£¡ÊÇ¿¼ÑÐÌâÄ¿¡­-3
ÊÔÌâ3-1.jpg

8Â¥2015-10-03 18:58:52
ÒÑÔÄ   »Ø¸´´ËÂ¥   ¹Ø×¢TA ¸øTA·¢ÏûÏ¢ ËÍTAºì»¨ TAµÄ»ØÌû

wwwwewwwwe

ľ³æ (СÓÐÃûÆø)

ÒýÓûØÌû:
8Â¥: Originally posted by ¹ÈÖÐÃ÷ at 2015-10-03 18:58:52
¸üÕý£º°Ñ×ÔÈ»¶ÔÊý°´³£ÓöÔÊý´¦ÀíÁË£¬Ìش˸üÕý¡£

ÊÔÌâ3-1.jpg
...

ÄÜ·Ö±ð´¦ÀíÊDz»ÊÇÒòΪ½¨Á¢µÄÊÇ¿ìÆ½ºâ£¿

·¢×ÔСľ³æAndroid¿Í»§¶Ë
9Â¥2015-10-05 12:23:26
ÒÑÔÄ   »Ø¸´´ËÂ¥   ¹Ø×¢TA ¸øTA·¢ÏûÏ¢ ËÍTAºì»¨ TAµÄ»ØÌû

¹ÈÖÐÃ÷

ÖÁ×ðľ³æ (ÖøÃûдÊÖ)

¡ï
±ùµã½µÎÂ: ½ð±Ò+1, лл»ØÌû£¬ÐÁ¿àÁË£¡ 2015-10-05 17:13:33
ÒýÓûØÌû:
9Â¥: Originally posted by wwwwewwwwe at 2015-10-05 12:23:26
ÄÜ·Ö±ð´¦ÀíÊDz»ÊÇÒòΪ½¨Á¢µÄÊÇ¿ìÆ½ºâ£¿
...

Ö÷ÒªÊÇÒòΪAµÄ·Ö½â·´Ó¦ÓëBµÄƽºâÎ޹أ¬ÇÒBÄܽ¨Á¢¿ìËÙÆ½ºâ¡£
10Â¥2015-10-05 13:29:11
ÒÑÔÄ   »Ø¸´´ËÂ¥   ¹Ø×¢TA ¸øTA·¢ÏûÏ¢ ËÍTAºì»¨ TAµÄ»ØÌû
Ïà¹Ø°æ¿éÌø×ª ÎÒÒª¶©ÔÄÂ¥Ö÷ ÎÞÁ¿Ðdz½º£ µÄÖ÷Ìâ¸üÐÂ
×î¾ßÈËÆøÈÈÌûÍÆ¼ö [²é¿´È«²¿] ×÷Õß »Ø/¿´ ×îºó·¢±í
[¿¼ÑÐ] 311Çóµ÷¼Á +11 Ó¸ҵÄСÎâ 2026-04-02 11/550 2026-04-03 21:46 by qlm5820
[¿¼ÑÐ] 295Çóµ÷¼Á +3 ÉÐټѽ 2026-04-03 4/200 2026-04-03 21:23 by zhq0425
[¿¼ÑÐ] ÉúÎïѧ308·ÖÇóµ÷¼Á£¨Ò»Ö¾Ô¸»ª¶«Ê¦´ó£© +7 ÏàÐűػá¹ââÍòÕ 2026-04-02 7/350 2026-04-03 16:48 by rzh123456
[¿¼ÑÐ] »¯Ñ§µ÷¼Á +9 °¬Ö¾ºã 2026-04-03 10/500 2026-04-03 15:51 by Çç¿Õ210210
[¿¼ÑÐ] 324Çóµ÷¼Á +4 ÏëÉÏѧÇóµ÷ 2026-04-03 4/200 2026-04-03 14:41 by rongligao
[¿¼ÑÐ] µ÷¼ÁÇóÖú +8 Ïë»»ÊÖ»ú²»Ïë½âÊ 2026-04-02 11/550 2026-04-03 14:16 by ÐÇ¿ÕÐÇÔÂ
[¿¼ÑÐ] Ò»Ö¾Ô¸±±¾©¹¤Òµ´óѧ£¬324·ÖÇóµ÷¼Á +8 Áã°Ë# 2026-03-28 8/400 2026-04-03 14:15 by °ÙÁéͯ888
[¿¼ÑÐ] 275Çóµ÷¼Á +14 waltzh 2026-04-01 14/700 2026-04-03 11:24 by qqq850810
[¿¼ÑÐ] 312 »¯¹¤»òÖÆÒ©µ÷¼Á +8 ССī123 2026-04-02 9/450 2026-04-03 09:12 by zhouxiaoyu
[¿¼ÑÐ] 326Çóµ÷¼Á +10 áÌáÌ×Ð 2026-04-02 10/500 2026-04-03 09:08 by ÅÁ¶ûÂíÀ­ÌØ
[¿¼ÑÐ] 326Çóµ÷¼Á +3 9ahye 2026-04-02 4/200 2026-04-03 08:43 by Jaylen.
[¿¼ÑÐ] Ò»Ö¾Ô¸´ó¹¤Ñ§Ë¶£¬Çóµ÷¼Á +4 yub0811 2026-04-02 4/200 2026-04-02 21:36 by °ÙÁéͯ888
[¿¼ÑÐ] ÍÁľ304Çóµ÷¼Á +4 ÍÃͻͻͻ£¬ 2026-04-02 5/250 2026-04-02 21:16 by ÍÃͻͻͻ£¬
[¿¼ÑÐ] 292·Ö£¬²ÄÁÏÓ뻯¹¤£¬ÉêÇëµ÷¼Á +19 ³ÌÇçÖ® 2026-04-01 23/1150 2026-04-02 11:59 by ³ÌÇçÖ®
[¿¼ÑÐ] 266·Ö£¬Ò»Ö¾Ô¸µçÆø¹¤³Ì£¬±¾¿Æ²ÄÁÏ£¬Çó²ÄÁÏרҵµ÷¼Á +10 ÍÛºôºßºôºß 2026-04-01 11/550 2026-04-02 11:31 by lnilvy
[¿¼ÑÐ] ÉúÎïÓëÒ½Ò©¿¼Ñе÷¼Á +5 Ìúº©º©123425 2026-03-31 5/250 2026-04-01 18:01 by syh9288
[¿¼ÑÐ] 0703Çóµ÷¼Á +4 zizimo 2026-03-31 4/200 2026-04-01 16:04 by yanflower7133
[¿¼ÑÐ] ÍÁľ304Çóµ÷¼Á +5 ¶¥¼¶²Á²Á 2026-03-31 5/250 2026-04-01 08:15 by fdcxdystjk£¤
[¿¼ÑÐ] 0856 335·Ö +9 cccchenso 2026-03-29 9/450 2026-03-31 16:37 by lishahe
[¿¼ÑÐ] ²ÄÁÏר˶ 085600Çóµ÷¼Á +7 BBQ233 2026-03-30 7/350 2026-03-30 17:44 by oooqiao
ÐÅÏ¢Ìáʾ
ÇëÌî´¦ÀíÒâ¼û