| 查看: 2530 | 回复: 1 | ||
[求助]
求解第一类零阶贝塞尔函数值的源程序? 已有1人参与
|
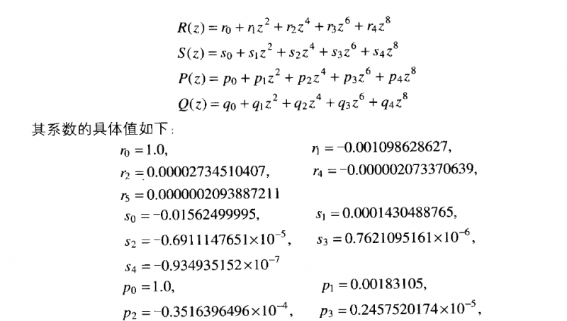
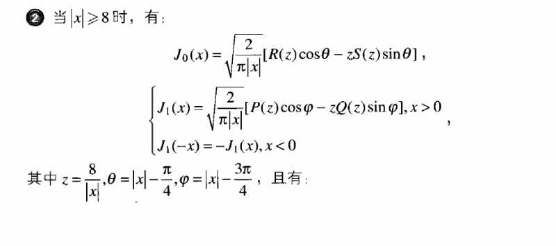
| 各位大神,谁有求解第一类零阶贝塞尔函数值的源程序,是C语言的,不要matlab等软件的,或者比较简单的求解方法也可以,之前看过一篇文献是通过6个参数近似的,现在找不到了,好郁闷 |
» 猜你喜欢
085600材料与化工329分求调剂
已经有5人回复
复试调剂
已经有18人回复
310求调剂
已经有16人回复
274求调剂
已经有7人回复
284求调剂
已经有8人回复
245求调剂
已经有7人回复
有爆料,一个青年教师卖房得400万,然后换了一个四青帽子
已经有11人回复
290求调剂
已经有15人回复
材料相关专业344求调剂双非工科学校或课题组
已经有16人回复
一志愿西交机械专硕求调剂
已经有9人回复
mathstudy
金虫 (正式写手)
- 数学EPI: 2
- 应助: 161 (高中生)
- 金币: 4320.1
- 散金: 38
- 红花: 16
- 帖子: 446
- 在线: 141.1小时
- 虫号: 2515489
- 注册: 2013-06-20
- 性别: GG
- 专业: 计算数学与科学工程计算
2楼2015-09-30 11:22:50














回复此楼
20