| ²é¿´: 712 | »Ø¸´: 5 | ||
verachang½ð³æ (СÓÐÃûÆø)
|
[ÇóÖú]
Çë´óÉñÃǰï׎âÎöÏÂÖÊÆ× ÒÑÓÐ1È˲ÎÓë
|
|
²»¶®ÖÊÆ×£¬Çë´óÉñÃǰï׎âÎöÏ£¬½á¹¹Ê½Ìù²»ÉÏÀ´£¬ËµÃ÷ºÍÖÊÆ×ͼ¶¼ÔÚ¸½¼þÀïÁË£¬Ð»Ð» ÖÊÆ×.jpg ]KM81FQ[]YM}%(THX72JR%1.png |
» ²ÂÄãϲ»¶
283·Ö²ÄÁÏÓ뻯¹¤Çóµ÷¼Á
ÒѾÓÐ12È˻ظ´
349Çóµ÷¼Á
ÒѾÓÐ7È˻ظ´
296²ÄÁÏר˶Çóµ÷¼Á
ÒѾÓÐ11È˻ظ´
Ò»Ö¾Ô¸ÉϺ£º£Ñó´óѧ083200ʳƷѧ˶£¬Çóµ÷¼Á£¬½ÓÊÜÆäËûרҵ
ÒѾÓÐ7È˻ظ´
²ÄÁÏ340·Öµ÷¼Á
ÒѾÓÐ8È˻ظ´
316Çóµ÷¼Á
ÒѾÓÐ13È˻ظ´
321Çóµ÷¼Á
ÒѾÓÐ11È˻ظ´
315Çóµ÷¼Á
ÒѾÓÐ6È˻ظ´
330·ÖÇóµ÷¼Á
ÒѾÓÐ13È˻ظ´
»¯¹¤µ÷¼Á303·Ö£¬¹ýËļ¶
ÒѾÓÐ9È˻ظ´
» ±¾Ö÷ÌâÏà¹Ø¼ÛÖµÌùÍÆ¼ö£¬¶ÔÄúͬÑùÓаïÖú:
Çë´óÉñÃǰï׎âÎöÏÂÖÊÆ×
ÒѾÓÐ5È˻ظ´

wy19871124
гæ (Ö°Òµ×÷¼Ò)
ÖÊÆ×Ê×ϯ¹ËÎÊ
- ACI: 2
- Ó¦Öú: 551 (²©Ê¿)
- ½ð±Ò: 1607.6
- É¢½ð: 959
- ºì»¨: 183
- Ìû×Ó: 3052
- ÔÚÏß: 447.4Сʱ
- ³æºÅ: 1593016
- ×¢²á: 2012-01-31
- ÐÔ±ð: GG
- רҵ: ÖÊÆ×·ÖÎö
¡¾´ð°¸¡¿Ó¦Öú»ØÌû
¡ï ¡ï ¡ï ¡ï ¡ï ¡ï ¡ï ¡ï ¡ï ¡ï ¡ï ¡ï ¡ï ¡ï ¡ï ¡ï ¡ï ¡ï ¡ï ¡ï
¸Ðл²ÎÓ룬ӦÖúÖ¸Êý +1
verachang: ½ð±Ò+20, ¡ï¡ï¡ïºÜÓаïÖú 2015-09-30 13:38:39
¸Ðл²ÎÓ룬ӦÖúÖ¸Êý +1
verachang: ½ð±Ò+20, ¡ï¡ï¡ïºÜÓаïÖú 2015-09-30 13:38:39
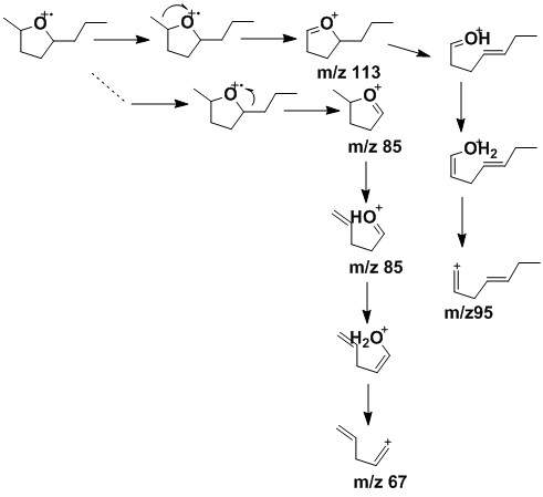
| ÕâÁ½ÖÖ»¯ºÏÎïµÄÖÊÆ×ͼ²îÒì²»ÊǺܴó£¬85¶¼ÊÇÓÎÀë»ùÖÐÐÄÓÕµ¼µÄ¦Á¶ÏÁÑ£¬µ«ÊǸù¾ÝË鯬Àë×Ó95ºÍ113Åжϣ¬ÖÊÆ×Ëù¶ÔÓ¦½á¹¹ÊǺóÃæµÄ»¯ºÏÎï2-methyl-5-propyltetrahydrofuran |
2Â¥2015-09-30 10:20:44
verachang
½ð³æ (СÓÐÃûÆø)
- Ó¦Öú: 4 (Ó×¶ùÔ°)
- ½ð±Ò: 2878.9
- É¢½ð: 509
- ºì»¨: 3
- Ìû×Ó: 118
- ÔÚÏß: 184.9Сʱ
- ³æºÅ: 978431
- ×¢²á: 2010-03-22
- ÐÔ±ð: MM
- רҵ: ÎÛȾ¿ØÖÆ»¯Ñ§

3Â¥2015-10-01 00:14:45
wy19871124
гæ (Ö°Òµ×÷¼Ò)
ÖÊÆ×Ê×ϯ¹ËÎÊ
- ACI: 2
- Ó¦Öú: 551 (²©Ê¿)
- ½ð±Ò: 1607.6
- É¢½ð: 959
- ºì»¨: 183
- Ìû×Ó: 3052
- ÔÚÏß: 447.4Сʱ
- ³æºÅ: 1593016
- ×¢²á: 2012-01-31
- ÐÔ±ð: GG
- רҵ: ÖÊÆ×·ÖÎö
4Â¥2015-10-01 08:52:11
5Â¥2015-10-01 11:04:35
6Â¥2015-10-01 11:09:14














»Ø¸´´ËÂ¥
