Znn3bq.jpeg
²é¿´: 932  |  »Ø¸´: 0

u571lxx306

½ð³æ (ÕýʽдÊÖ)

Dr. Prof Leon

[ÇóÖú] ¸ß½ð±ÒÇóÖú£º À­ÆÕÀ­Ë¹±ä»»½âÒ»½×³£Î¢·Ö·½³Ì×éµÄÎÊÌâ

¸÷λÊýѧ´óÉñ£¬¸ß½ð±ÒÇóÖúÒ»¸öÎÊÌ⣡

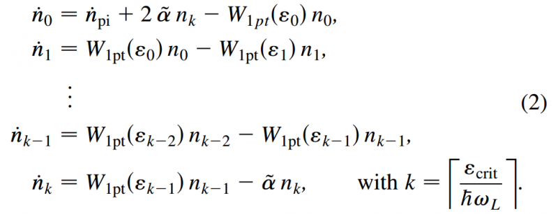
ÔÚ¿´ÂÛÎĵÄʱºò£¨¸½¼þÖÐÇë¿´pdfÎĵµ - Rethfeld2004£©£¬Óöµ½Ò»¸öÀ­ÆÕÀ­Ë¹±ä»»½âÒ»½×³£Î¢·Ö·½³Ì×é¡£

Ò»½×³£Î¢·Ö·½³ÌÈçÏ£º
¸ß½ð±ÒÇóÖú£º À­ÆÕÀ­Ë¹±ä»»½âÒ»½×³£Î¢·Ö·½³Ì×éµÄÎÊÌâ
ÆäÖÐn0, n1, n2...nk Ϊʱ¼ätµÄº¯Êý£¬n0_dot, n1_dot...nk_dot Ϊʱ¼ätµÄÒ»½×µ¼Êý¡£ÆäËû¶¼¿É¿´Îª³£Êý¡£

À­ÆÕÀ­Ë¹±ä»»ÎÒ»¹±È½ÏÊìϤ£¬ÄÜÍÆµ½ÕâÒ»²½£º
¸ß½ð±ÒÇóÖú£º À­ÆÕÀ­Ë¹±ä»»½âÒ»½×³£Î¢·Ö·½³Ì×éµÄÎÊÌâ-1

ÕâÒ»²½ÎÒ¾ÍÍÆ²»³öÀ´ÁË£º
¸ß½ð±ÒÇóÖú£º À­ÆÕÀ­Ë¹±ä»»½âÒ»½×³£Î¢·Ö·½³Ì×éµÄÎÊÌâ-2

ÎÒ²»Ã÷°×£º
1. ÔÚalpha>>W1ptÌõ¼þÏÂÕâk+2 ¸ö¼«µãÊÇÈçºÎµÃµ½µÄ£»

2. ÔÚt>>1/s1ʱ£¬½¥½øÊ½µÄ½ânk(t)ÊÇÈçºÎÍÆµ¼À´µÄ¡£

·Ç³£¸Ðл´óÉñ²»Áߴͽ̣¡
»Ø¸´´ËÂ¥

» ±¾Ìû¸½¼þ×ÊÔ´Áбí

» ²ÂÄãϲ»¶

ƽ·²µÄÊÀ½ç£¬²»Æ½·²µÄÈËÉú£¬¼ÓÓÍ£¡
ÒÑÔÄ   »Ø¸´´ËÂ¥   ¹Ø×¢TA ¸øTA·¢ÏûÏ¢ ËÍTAºì»¨ TAµÄ»ØÌû
Ïà¹Ø°æ¿éÌø×ª ÎÒÒª¶©ÔÄÂ¥Ö÷ u571lxx306 µÄÖ÷Ìâ¸üÐÂ
×î¾ßÈËÆøÈÈÌûÍÆ¼ö [²é¿´È«²¿] ×÷Õß »Ø/¿´ ×îºó·¢±í
[²ÄÁϹ¤³Ì] ²ÄÁϵ÷¼ÁÍÆ¼ö +9 µ°¸âx2 2026-04-07 9/450 2026-04-13 09:07 by lhj2009
[¿¼ÑÐ] 335Çóµ÷¼Á +16 ÏëÉϰ¶Ñ½£¡£¡ 2026-04-12 16/800 2026-04-13 08:41 by Sammy2
[˶²©¼ÒÔ°] ÐÂÒ»´úµç×ÓÐÅÏ¢294Çóµ÷¼Á ²»ÌôѧУ +7 Ytyt11 2026-04-09 8/400 2026-04-12 16:57 by ajpv·çÀ×
[¿¼ÑÐ] µ÷¼Á +25 ²»·ê´º 2026-04-07 26/1300 2026-04-12 11:53 by ´óÁ¦Ë®ÊÖÁ¦´óÎÞÇ
[¿¼ÑÐ] 085410 273Çóµ÷¼Á +10 X1999 2026-04-09 10/500 2026-04-12 09:24 by ÄæË®³Ë·ç
[¿¼ÑÐ] Ò»Ö¾Ô¸Î÷±±¹¤Òµ´óѧ289 085602 +33 yangæÃ 2026-04-10 34/1700 2026-04-12 08:11 by Art1977
[¿¼ÑÐ] µ÷¼Á +10 Ö»ÐðÀë±ð´Ç 2026-04-09 12/600 2026-04-11 20:57 by ÄæË®³Ë·ç
[¿¼ÑÐ] µ÷¼Á +4 µçÆø300Çóµ÷¼Á²» 2026-04-08 7/350 2026-04-11 10:44 by ×ÏêØ×ÏÆå
[¿¼ÑÐ] Çóµ÷¼Á +13 Ñ©·ê¶¬ 2026-04-10 13/650 2026-04-11 09:58 by Öí»á·É
[¿¼ÑÐ] 337Çóµ÷¼Á +4 ÑÐs. 2026-04-10 4/200 2026-04-11 08:57 by zhq0425
[¿¼ÑÐ] 22408 366·Ö£¬±¾¿Æ211£¬Ò»Ö¾Ô¸Î÷¹¤´ó +4 Rubt 2026-04-09 4/200 2026-04-10 19:51 by chemisry
[¿¼ÑÐ] 314Çóµ÷¼Á +18 xhhdjdjsjks 2026-04-09 19/950 2026-04-10 18:53 by HPUCZ
[¿¼ÑÐ] Ò»Ö¾Ô¸¾©Çø985£¬085401µç×ÓÐÅÏ¢£¬±¾¿Æµç×ÓÐÅÏ¢ +3 Ñô¹â¿ªÀʵÄÄк¢ 2026-04-10 3/150 2026-04-10 16:29 by sophia_93
[¿¼ÑÐ] Ò»Ö¾Ô¸ÖÐÄÏ´óѧÎïÀíѧ£¬Ó¢Ò»66£¬Çóµ÷¼Á +4 ³¤ÑÌì½ì» 2026-04-08 5/250 2026-04-10 10:31 by Ó±¹û¶ù
[ÂÛÎÄͶ¸å] ÇóÖúÎÄÏ×Ô­ÎÄ 10+3 18500821399 2026-04-08 3/150 2026-04-09 16:56 by ±±¾©À³ÒðÈóÉ«
[¿¼ÑÐ] 274Çóµ÷¼Á +5 ɽ°¢Âû 2026-04-07 5/250 2026-04-09 15:28 by 18828373951
[¿¼ÑÐ] Ò»Ö¾Ô¸¹þ¹¤´ó£¬³õÊÔ329£¬Çó»·¾³¿ÆÑ§Ó빤³Ìµ÷¼Á£¡ +11 ÓàδÐÁ 2026-04-06 11/550 2026-04-08 15:21 by screening
[¿¼ÑÐ] 277¡¢Ñ§Ë¶£¬Çóµ÷¼Á ÊýÒ»104£¬ +11 Æ¿×ÓPZ 2026-04-07 12/600 2026-04-07 23:30 by Ò»Ö»ºÃ¹û×Ó?
[¿¼ÑÐ] 307Çóµ÷¼Á +3 Youth@@ 2026-04-07 3/150 2026-04-07 22:00 by hemengdong
[¿¼ÑÐ] Ò»Ö¾Ô¸Î÷µç085401Çóµ÷¼Á +4 sunw1306 2026-04-07 4/200 2026-04-07 16:40 by à£à£à£0119
ÐÅÏ¢Ìáʾ
ÇëÌî´¦ÀíÒâ¼û