版块导航
正在加载中...
客户端APP下载
论文辅导
申博辅导
登录
注册
帖子
帖子
用户
本版
应《网络安全法》要求,自2017年10月1日起,未进行实名认证将不得使用互联网跟帖服务。为保障您的帐号能够正常使用,请尽快对帐号进行手机号验证,感谢您的理解与支持!
24小时热门版块排行榜
>
论坛更新日志
(3280)
>
虫友互识
(848)
>
文献求助
(235)
>
导师招生
(162)
>
休闲灌水
(159)
>
考博
(131)
>
教师之家
(86)
>
博后之家
(81)
>
硕博家园
(80)
>
找工作
(77)
>
论文投稿
(75)
>
论文道贺祈福
(67)
>
基金申请
(65)
>
考研
(57)
>
公派出国
(51)
>
招聘信息布告栏
(36)
小木虫论坛-学术科研互动平台
»
计算模拟区
»
计算模拟
»
其他
»
如何用origin来拟合该函数?
6
1/1
返回列表
查看: 1074 | 回复: 5
只看楼主
@他人
存档
新回复提醒
(忽略)
收藏
在APP中查看
yang_jing_5
新虫
(初入文坛)
应助: 0
(幼儿园)
金币: 0.5
帖子: 5
在线: 18.3小时
虫号: 2770103
注册: 2013-11-01
性别: GG
专业: 机械动力学
[
求助
]
如何用origin来拟合该函数?
已有1人参与
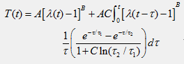
拟合参数A B τ1 τ2 ,自变量为t。求大神帮忙解决一下
TQF2ORCM{4TY_J~5CBS{O%8.png
回复此楼
» 本帖附件资源列表
欢迎监督和反馈:小木虫仅提供交流平台,不对该内容负责。
本内容由用户自主发布,如果其内容涉及到知识产权问题,其责任在于用户本人,如对版权有异议,请联系邮箱:xiaomuchong@tal.com
附件 1 :
data.xlsx
2015-09-29 15:04:57, 14.98 K
» 猜你喜欢
求标准粉末衍射卡号 ICDD 01-076-1802
已经有0人回复
新西兰Robinson研究所招收全奖PhD
已经有0人回复
物理学I论文润色/翻译怎么收费?
已经有265人回复
石墨烯转移--二氧化硅衬底石墨烯
已经有0人回复
笼目材料中量子自旋液体基态的证据
已经有0人回复
数学教学论硕士可以读数学物理博士吗?
已经有0人回复
德国亥姆霍兹Hereon中心汉堡分部招镁合金腐蚀裂变SCC课题方向2026公派博士生
已经有4人回复
澳门大学 应用物理及材料工程研究院 潘晖教授课题组诚招博士后
已经有11人回复
求助NH4V4O10晶体的CIF文件
已经有0人回复
英国全奖博士招聘-深度学习与量子物理
已经有0人回复
间接带隙半导体有效质量求助
已经有0人回复
» 本主题相关价值贴推荐,对您同样有帮助:
用Origin如何来作这样横坐标和纵坐标的图
已经有3人回复
如何将castep中数据导出来用origin画图
已经有3人回复
如何用origin找出图中的极值点
已经有6人回复
如何用origin作这样的三维柱状图啊~
已经有1人回复
如何利用origin来画Design expert中三维图(附教程)
已经有441人回复
困扰我多久的问题,求指导!!如何找到标准图谱的数据来用Origin作图
已经有3人回复
请问如何用origin画响应面的3D图?
已经有23人回复
如何让用origin拟合曲线计算IC50值
已经有2人回复
如何用origin实现测试信号对仪器响应的去卷积操作??
已经有12人回复
关于如何用origin绘制伏安溶出峰基线
已经有0人回复
求助:如何用origin 8中非线性拟合工具拟合已知曲线,需自定义函数
已经有1人回复
急请大家帮忙, PKCS #7 证书 (.spc)类型的文件如何用Origin8来作图?
已经有12人回复
急求:如何用origin把这样的三维点线图做成曲面图
已经有3人回复
有XRD的数据和图像,请问如何用origin来计算样品粒径?
已经有3人回复
请教,如何利用Origin来做带隙图?
已经有7人回复
如何用origin ,在一个坐标轴里绘制两条直线?
已经有1人回复
怎么用Origin软件来求导?
已经有6人回复
勤则盈,惰则亏
1楼
2015-09-29 15:05:37
已阅
回复此楼
关注TA
给TA发消息
送TA红花
TA的回帖
dingd
铁杆木虫
(职业作家)
计算强帖: 4
应助: 1641
(讲师)
金币: 15037.3
散金: 101
红花: 234
帖子: 3410
在线: 1223.7小时
虫号: 291104
注册: 2006-10-28
【答案】应助回帖
感谢参与,应助指数 +1
楼主公式里积分中的“λ(t-τ)”该如何理解和计算?
赞
一下
回复此楼
2楼
2015-09-29 16:46:54
已阅
回复此楼
关注TA
给TA发消息
送TA红花
TA的回帖
yuekong
至尊木虫
(文坛精英)
应助: 3
(幼儿园)
金币: 63328.6
散金: 1
红花: 17
帖子: 27018
在线: 572.3小时
虫号: 712892
注册: 2009-03-02
性别: GG
专业: 木材科学与技术
自定义函数
发自小木虫Android客户端
回复此楼
3楼
2015-09-29 22:03:05
已阅
回复此楼
关注TA
给TA发消息
送TA红花
TA的回帖
yang_jing_5
新虫
(初入文坛)
应助: 0
(幼儿园)
金币: 0.5
帖子: 5
在线: 18.3小时
虫号: 2770103
注册: 2013-11-01
性别: GG
专业: 机械动力学
引用回帖:
3楼
:
Originally posted by
yuekong
at 2015-09-29 22:03:05
自定义函数
能告诉一下具体的做法吗?谢谢
赞
一下
回复此楼
勤则盈,惰则亏
4楼
2015-10-03 14:37:39
已阅
回复此楼
关注TA
给TA发消息
送TA红花
TA的回帖
yang_jing_5
新虫
(初入文坛)
应助: 0
(幼儿园)
金币: 0.5
帖子: 5
在线: 18.3小时
虫号: 2770103
注册: 2013-11-01
性别: GG
专业: 机械动力学
引用回帖:
2楼
:
Originally posted by
dingd
at 2015-09-29 16:46:54
楼主公式里积分中的“λ(t-τ)”该如何理解和计算?
λ是时间t的函数(是一些列对应的离散点),λ(t-τ)作为λ在t-τ时刻的值。
赞
一下
回复此楼
勤则盈,惰则亏
5楼
2015-10-03 14:39:35
已阅
回复此楼
关注TA
给TA发消息
送TA红花
TA的回帖
月只蓝
主管区长
(职业作家)
专家经验: +1059
计算强帖: 8
应助: 1712
(讲师)
贵宾: 8.888
金币: 68123.7
散金: 1938
红花: 443
沙发: 4
帖子: 4373
在线: 3291.4小时
虫号: 1122189
注册: 2010-10-14
专业: 宇宙学
管辖:
计算模拟区
引用回帖:
5楼
:
Originally posted by
yang_jing_5
at 2015-10-03 14:39:35
λ是时间t的函数(是一些列对应的离散点),λ(t-τ)作为λ在t-τ时刻的值。...
如果你的问题还没解决,2楼的大神就是最佳人选。以我对你问题的了解程度,其他人没有能力或者时间能帮到你。
[ 发自小木虫客户端 ]
赞
一下
回复此楼
MATLAB、MS小问题、普通问题请发帖求助!时间精力有限,恕不接受无偿私信求助。
6楼
2015-10-04 13:50:25
已阅
回复此楼
关注TA
给TA发消息
送TA红花
TA的回帖
相关版块跳转
第一性原理
量子化学
计算模拟
分子模拟
仿真模拟
程序语言
我要订阅楼主
yang_jing_5
的主题更新
6
1/1
返回列表
如果回帖内容含有宣传信息,请如实选中。否则帐号将被全论坛禁言
普通表情
龙
兔
虎
猫
百度网盘
|
360云盘
|
千易网盘
|
华为网盘
在新窗口页面中打开自己喜欢的网盘网站,将文件上传后,然后将下载链接复制到帖子内容中就可以了。
信息提示
关闭
请填处理意见
关闭
确定