| 查看: 1870 | 回复: 2 | |||
[求助]
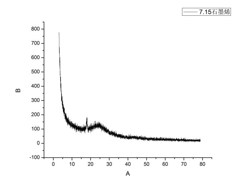
我自己做的几组石墨烯的XRD在18.5度处出现的峰是怎么回事? 已有1人参与
|
|||
|
|
|||
冰点降温版主 (文坛精英)
|
|||
![]() |
|||
|
2楼2015-09-28 16:31:43
|
|
||
liwentao2010荣誉版主 (文坛精英)
山涛
|
|||
![]() |
|||
|
3楼2015-10-10 08:37:30
|
|














回复此楼

