| 查看: 1621 | 回复: 4 | ||
[求助]
运用Mie散射理论计算AG纳米颗粒的散射截面 已有1人参与
|
|
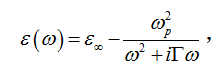
我想运用Mie散射理论Ag纳米颗粒的散射截面,运用Matlab可以重复得到与文献中当Ag纳米颗粒置于空气中时的结果,但是当我把媒质换成Si 时,却得不到与文献相同的结果。我用的是DRUDE模型,而对媒质的介电常数的处理是由金属介电常数除以媒质的介电常数,也就是处理成相对介电常数,但是得不到相同的结果。想问问有没有做过相同计算的大神能帮忙解决一下这个问题的? 1.PNG 12.PNG 捕获.PNG |
» 猜你喜欢
光学工程学硕调剂信息
已经有32人回复
欢迎加入课题组
已经有0人回复
物理学I论文润色/翻译怎么收费?
已经有54人回复
散金币,求好运,祝面上顺利!
已经有79人回复
华东师范大学芯片设计徐珑真实水平咋样
已经有1人回复
调剂
已经有0人回复
【新加坡】纳米电子器件项目组有“联合培养博士生”名额
已经有0人回复
中德博士后2026项目5月30日截止- 国内博士后入站、德国两年全职
已经有0人回复
面向全球申请人的中德博士后2026项目5月30日截止- 国内博后入站德国两年全职
已经有0人回复
【新加坡】纳米电子器件项目组有“联合培养博士生”名额
已经有2人回复
重庆交大材料学院26年硕士招生复试实施细则已出。欢迎加入光子学微结构与器件课题组。
已经有0人回复
» 本主题相关商家推荐: (我也要在这里推广)
WanderingHeart
铁杆木虫 (著名写手)
- 应助: 90 (初中生)
- 金币: 13890.8
- 散金: 5
- 红花: 18
- 帖子: 1885
- 在线: 467.1小时
- 虫号: 257464
- 注册: 2006-06-04
- 性别: GG
- 专业: 凝聚态物性 II :电子结构
2楼2015-09-26 21:17:49
3楼2015-09-27 15:00:09
WanderingHeart
铁杆木虫 (著名写手)
- 应助: 90 (初中生)
- 金币: 13890.8
- 散金: 5
- 红花: 18
- 帖子: 1885
- 在线: 467.1小时
- 虫号: 257464
- 注册: 2006-06-04
- 性别: GG
- 专业: 凝聚态物性 II :电子结构
4楼2015-09-27 15:08:14
hellonicai
铁虫 (小有名气)
- 应助: 1 (幼儿园)
- 金币: 137.1
- 红花: 1
- 帖子: 68
- 在线: 136.3小时
- 虫号: 3332859
- 注册: 2014-07-21
- 性别: GG
- 专业: 光学

5楼2015-09-29 16:59:44













回复此楼