| 查看: 1134 | 回复: 27 | |
| 当前只显示满足指定条件的回帖,点击这里查看本话题的所有回帖 | |
2255871金虫 (小有名气)
|
[求助]
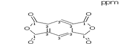
两化合物,一个是合成原料,一个是主产物,做了13C NMR表征,怎样鉴定有没有原料峰? 已有7人参与
|
|
|
|
lephong木虫 (正式写手)
|
|
![]() |
|
|
9楼2015-09-28 14:40:14
|
|
| 查看全部 28 个回答 | |
2255871金虫 (小有名气)
|
|
|
2楼2015-09-25 15:42:03
|
|
来瓶_啤酒木虫 (正式写手)
|
|
![]() |
|
|
6楼2015-09-26 11:48:37
|
|
来瓶_啤酒木虫 (正式写手)
|
|
![]() |
|
|
7楼2015-09-26 11:50:04
|
|













回复此楼

2255871