| ²é¿´: 1347 | »Ø¸´: 2 | |||
·Ü¶·renгæ (³õÈëÎÄ̳)
|
[½»Á÷]
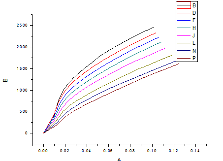
¶þ¼¶Ïà±äµÄarrottÇúÏß»³ÉÁËÕâÑù£¬´óÉñ¿´¿´ÊDz»ÊÇÓÐÎÊÌâ ÒÑÓÐ1È˲ÎÓë
|
|
ÈçÌ⣬arrottÇúÏßÊDz»ÊÇÖ»ÄÜÓÃÓÚ¶ÔÌú´Åµ½·´Ìú´ÅÊÇÒ»¼¶Ïà±ä»¹ÊǶþ¼¶Ïà±äµÄ±ä»¯µÄÅжϣ¬ÎÒÕâÇúÏß¿´ÆðÀ´²»Õý³£°¡£¬Ó¦¸ÃÓÐϰ¼µÄÏ߲Ŷ԰¡£¬ÎÒûÓнð±Ò¡£¡£¡£Çó¸ßÈËÖ¸µã¡£ ²¶»ñ.PNG |
» ²ÂÄãϲ»¶
Çóµ÷¼Á
ÒѾÓÐ3È˻ظ´
265Çóµ÷¼Á
ÒѾÓÐ4È˻ظ´
085700×ÊÔ´Óë»·¾³308Çóµ÷¼Á
ÒѾÓÐ6È˻ظ´
Ò»Ö¾Ô¸¼ªÁÖ´óѧ²ÄÁÏѧ˶321Çóµ÷¼Á
ÒѾÓÐ12È˻ظ´
286·ÖÈ˹¤ÖÇÄÜרҵÇëÇóµ÷¼ÁÔ¸Òâ¿ç¿¼£¡
ÒѾÓÐ3È˻ظ´
329Çóµ÷¼Á
ÒѾÓÐ5È˻ظ´
ÉêÇë»Ø¸åÑÓÆÚÒ»¸öÔ£¬±à¼Í¬ÒâÁË¡£µ«ÏµÍ³ÉϵÄʱ¼äû±ä£¬¸ø±à¼ÓÖдÓʼþÁË£¬Ã»»Ø¸´
ÒѾÓÐ4È˻ظ´
²ÄÁÏѧ˶318Çóµ÷¼Á
ÒѾÓÐ5È˻ظ´
Ò»Ö¾Ô¸Öйúº£Ñó´óѧ£¬ÉúÎïѧ£¬301·Ö£¬Çóµ÷¼Á
ÒѾÓÐ6È˻ظ´
081700»¯¹¤Ñ§Ë¶µ÷¼Á
ÒѾÓÐ3È˻ظ´
·Ü¶·ren
гæ (³õÈëÎÄ̳)
- Ó¦Öú: 0 (Ó×¶ùÔ°)
- ½ð±Ò: 24.5
- Ìû×Ó: 28
- ÔÚÏß: 15.2Сʱ
- ³æºÅ: 1713194
- ×¢²á: 2012-03-24
- ÐÔ±ð: GG
- רҵ: Äý¾Û̬ÎïÐÔ II £ºµç×ӽṹ
2Â¥2015-09-24 15:53:22
zhangwei2012
ľ³æ (СÓÐÃûÆø)
- Ó¦Öú: 2 (Ó×¶ùÔ°)
- ½ð±Ò: 1928.5
- É¢½ð: 3
- Ìû×Ó: 284
- ÔÚÏß: 185.8Сʱ
- ³æºÅ: 1388904
- ×¢²á: 2011-09-03
- ÐÔ±ð: GG
- רҵ: Äý¾Û̬ÎïÐÔ II £ºµç×ӽṹ

3Â¥2015-09-25 10:40:56













»Ø¸´´ËÂ¥