24小时热门版块排行榜    

查看: 991  |  回复: 0

西门吹雪ZQ

新虫 (初入文坛)

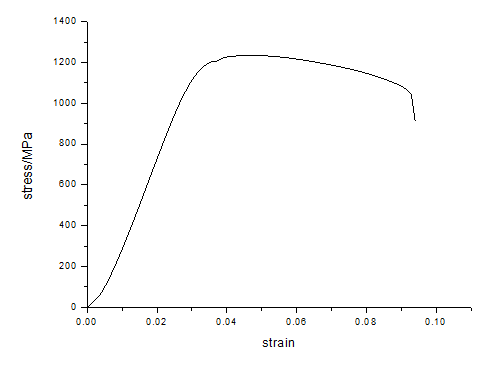
[求助] TA1的应力应变曲线

大家看看这个曲线有问题吗?感觉屈服点好高啊,大家手上有TA1的拉伸曲线的可以给发一份吗,谢谢了

TA1的应力应变曲线
捕获.PNG
回复此楼

» 猜你喜欢

已阅   回复此楼   关注TA 给TA发消息 送TA红花 TA的回帖
相关版块跳转 我要订阅楼主 西门吹雪ZQ 的主题更新
最具人气热帖推荐 [查看全部] 作者 回/看 最后发表
[考研] 一志愿重庆大学085700资源与环境,总分308求调剂 +4 墨墨漠 2026-03-23 4/200 2026-03-23 14:02 by 绿色港湾
[考研] 085600材料与化工 +10 安全上岸! 2026-03-16 10/500 2026-03-23 09:31 by Jy?
[考研] 315分,诚求调剂,材料与化工085600 +3 13756423260 2026-03-22 3/150 2026-03-22 20:11 by edmund7
[考研] 306求调剂 +5 来好运来来来 2026-03-22 5/250 2026-03-22 16:17 by BruceLiu320
[考研] 354求调剂 +7 Tyoumou 2026-03-18 10/500 2026-03-22 11:11 by 人来盛
[考研] 材料与化工(0856)304求B区调剂 +3 邱gl 2026-03-20 7/350 2026-03-21 19:05 by 15709483992
[考研] 一志愿南大,0703化学,分数336,求调剂 +3 收到VS 2026-03-21 3/150 2026-03-21 18:42 by 学员8dgXkO
[考研] 266求调剂 +3 哇呼哼呼哼 2026-03-20 3/150 2026-03-21 16:46 by barlinike
[考研] 求调剂 +6 Mqqqqqq 2026-03-19 6/300 2026-03-21 08:04 by JourneyLucky
[考研] 材料 336 求调剂 +3 An@. 2026-03-18 4/200 2026-03-21 01:39 by JourneyLucky
[考研] 华东师范大学-071000生物学-293分-求调剂 +3 研究生何瑶明 2026-03-18 3/150 2026-03-21 01:30 by JourneyLucky
[考研] 一志愿西南交通 专硕 材料355 本科双非 求调剂 +5 西南交通专材355 2026-03-19 5/250 2026-03-20 21:10 by JourneyLucky
[考研] 一志愿 南京航空航天大学大学 ,080500材料科学与工程学硕 +5 @taotao 2026-03-20 5/250 2026-03-20 20:16 by JourneyLucky
[考研] 招收调剂硕士 +4 lidianxing 2026-03-19 12/600 2026-03-20 12:25 by lidianxing
[考研] 288求调剂,一志愿华南理工大学071005 +5 ioodiiij 2026-03-17 5/250 2026-03-19 18:22 by zcl123
[考研] 材料与化工求调剂 +7 为学666 2026-03-16 7/350 2026-03-19 14:48 by 尽舜尧1
[考研] 本科郑州大学物理学院,一志愿华科070200学硕,346求调剂 +4 我不是一根葱 2026-03-18 4/200 2026-03-19 09:11 by 浮云166
[考研] 材料工程专硕调剂 +5 204818@lcx 2026-03-17 6/300 2026-03-18 22:55 by 204818@lcx
[考研] 【同济软件】软件(085405)考研求调剂 +3 2026eternal 2026-03-18 3/150 2026-03-18 19:09 by 搏击518
[考研] 085601求调剂 +4 Du.11 2026-03-16 4/200 2026-03-17 17:08 by ruiyingmiao
信息提示
请填处理意见