| 查看: 1379 | 回复: 10 | |
Hermano金虫 (小有名气)
|
[求助]
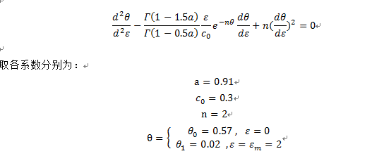
一维渗流方程,求程序代码
|
|
|
|
梦兰萱木虫 (正式写手)
|
|
|
2楼2015-09-22 17:57:03
|
|
Hermano金虫 (小有名气)
|
|
|
3楼2015-09-22 18:23:17
|
|
梦兰萱木虫 (正式写手)
|
|
|
4楼2015-09-22 22:57:44
|
|
|
5楼2015-09-22 22:57:47
|
|
Hermano金虫 (小有名气)
|
|
|
6楼2015-09-22 23:22:28
|
|
cob木虫 (正式写手)
|
|
|
7楼2015-09-23 00:53:13
|
|
Hermano金虫 (小有名气)
|
|
|
8楼2015-09-23 08:52:37
|
|
Hermano金虫 (小有名气)
|
» 本帖附件资源列表
2015-09-23 10:40:25, 2.15 K
2015-09-23 10:40:25, 838 bytes
2015-09-23 10:40:25, 454 bytes
2015-09-23 10:40:25, 376 bytes
|
|
9楼2015-09-23 10:45:58
|
|
asked6188木虫 (职业作家)
|
|
|
10楼2015-09-23 11:00:04
|
|













回复此楼