| ²é¿´: 801 | »Ø¸´: 3 | |
tuburfransth½ð³æ (ÕýʽдÊÖ)
|
[ÇóÖú]
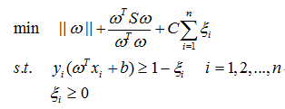
Çó´øÔ¼ÊøµÄ×îС»¯ÎÊÌâ¡£
|
|
|
|
ÄäÃûÓû§×¢Ïú (СÓÐÃûÆø)
|
|
|
2Â¥2015-09-22 14:48:17
|
|
diamantoгæ (³õÈëÎÄ̳)
|
|
|
3Â¥2015-09-22 18:29:10
|
|
tuburfransth½ð³æ (ÕýʽдÊÖ)
|
|
|
4Â¥2015-10-09 19:51:00
|
|













»Ø¸´´ËÂ¥
40