| 查看: 5371 | 回复: 18 | ||
| 当前只显示满足指定条件的回帖,点击这里查看本话题的所有回帖 | ||
xzh410512206银虫 (小有名气)
|
[求助]
关于lippert-mataga公式的计算已有2人参与
|
|
|
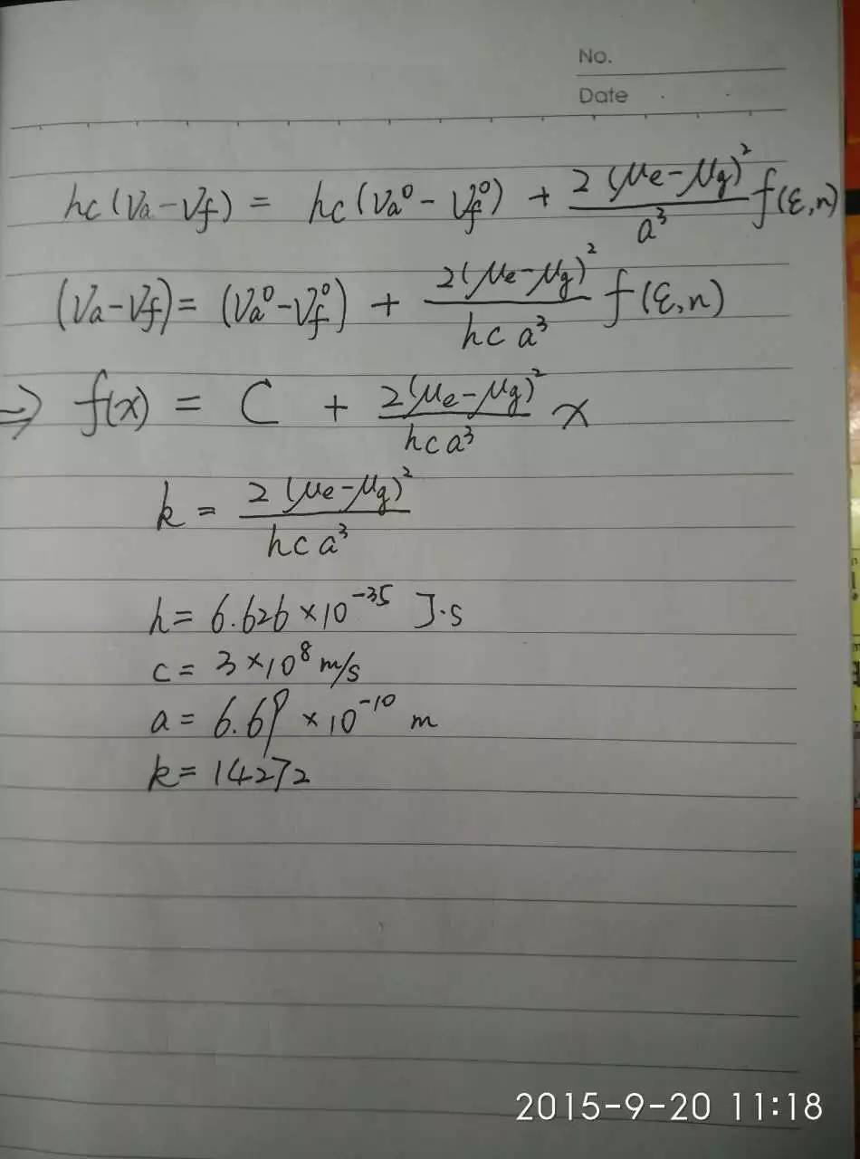
a=6.69埃 斜率为14272 求偶极距变化量 [ 发自手机版 http://muchong.com/3g ] |
» 猜你喜欢
二苯甲酮亚胺的合成
已经有1人回复
聚左旋乳酸的作用与机制:从胶原再生到组织修复
已经有0人回复
有机高分子材料论文润色/翻译怎么收费?
已经有143人回复
可生物降解聚酯聚己内酯的性能分析与发展趋势
已经有0人回复
带膜支架的膜和支架之间的结合力如何测试
已经有2人回复
西交利物浦大学奖学金博士招生(生物传感或机器学习方向)
已经有1人回复
南方科技大学招收金属材料方向博士生
已经有23人回复
可降解聚酯材料在医疗器械中的应用趋势与创新方向
已经有0人回复
可降解微球如何提升药物精准治疗效果
已经有0人回复
静电纺丝膜分层问题
已经有0人回复
什么脱膜剂可以完全清洗干净啊?
已经有0人回复
» 本主题相关价值贴推荐,对您同样有帮助:
关于Lippert-Mataga 公式计算的问题
已经有3人回复
Lippert-Mataga 公式数据单位变换
已经有0人回复
【黑衣女人/颤栗黑影(台)】【720P中英字】哈利波特脱下巫师长袍/转战英国之旅
已经有0人回复
xzh410512206
银虫 (小有名气)
- 应助: 1 (幼儿园)
- 金币: 457.2
- 散金: 10
- 帖子: 127
- 在线: 75.4小时
- 虫号: 2630841
- 注册: 2013-09-02
- 专业: 应用有机化学
8楼2015-09-20 11:24:11
xzh410512206
银虫 (小有名气)
- 应助: 1 (幼儿园)
- 金币: 457.2
- 散金: 10
- 帖子: 127
- 在线: 75.4小时
- 虫号: 2630841
- 注册: 2013-09-02
- 专业: 应用有机化学
2楼2015-09-20 08:48:31
谷中明
至尊木虫 (著名写手)
- ICEPI: 19
- 应助: 1264 (讲师)
- 贵宾: 0.482
- 金币: 24134.7
- 红花: 182
- 帖子: 2913
- 在线: 1911.3小时
- 虫号: 1883403
- 注册: 2012-07-08
- 性别: GG
- 专业: 热力学
3楼2015-09-20 09:14:21
xzh410512206
银虫 (小有名气)
- 应助: 1 (幼儿园)
- 金币: 457.2
- 散金: 10
- 帖子: 127
- 在线: 75.4小时
- 虫号: 2630841
- 注册: 2013-09-02
- 专业: 应用有机化学
4楼2015-09-20 09:25:01













回复此楼