| 查看: 587 | 回复: 2 | ||
lgt2311452银虫 (小有名气)
|
[交流]
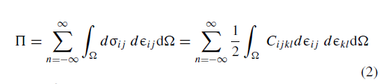
这个公式多出来的0.5倍系数如何理解呢? 已有1人参与
|
mistuning
铜虫 (小有名气)
- 应助: 0 (幼儿园)
- 金币: 860.9
- 帖子: 223
- 在线: 37.4小时
- 虫号: 2595509
- 注册: 2013-08-13
- 性别: GG
- 专业: 机械动力学
2楼2015-09-19 15:54:35
lgt2311452
银虫 (小有名气)
- 应助: 0 (幼儿园)
- 金币: 682.8
- 红花: 2
- 帖子: 228
- 在线: 31.6小时
- 虫号: 3451790
- 注册: 2014-10-01
- 性别: GG
- 专业: 结构工程
3楼2015-09-19 22:30:58













回复此楼
10