| 查看: 2812 | 回复: 2 | |
[求助]
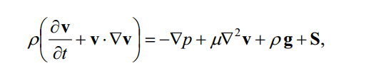
动量源项UDF的编写项
|
|
![]() |
|
|
|
|
|
2楼2017-12-04 19:45:53
|
|
|
3楼2018-08-30 19:16:42
|
|














回复此楼