| 查看: 969 | 回复: 6 | ||
郑修军新虫 (小有名气)
|
[求助]
电化学电容器里CV循环曲线电流流动方向设定的影响
|
|
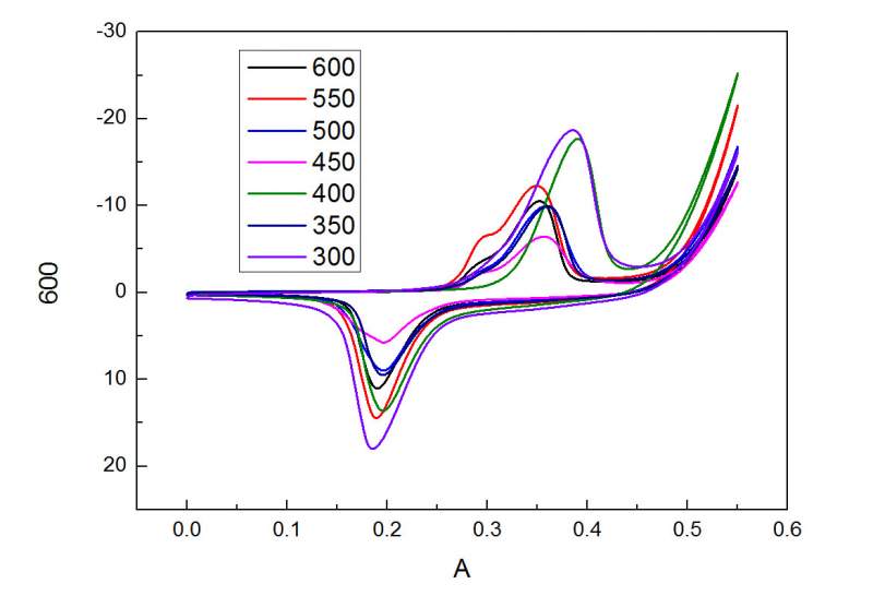
看文献跟自己测试的过程中,发现一个问题难以理解,自己做的CV循环曲线如第一张图,氧化峰存在的电流为负值,而文献里边氧化峰出现的电流值为正值,但是电位均为正电位,因此我现在怀疑电极的正负问题,我的活性物质所在极是否为负极啊? CV.jpg CV1.jpg |
» 猜你喜欢
上海工程技术大学生态与功能纺织品开发研究团队招收学硕专硕研究生
已经有0人回复
华南理工0703求调剂,总分336四六级已过
已经有2人回复
分析化学论文润色/翻译怎么收费?
已经有264人回复
青岛大学化学化工学院2026年招收调剂硕士研究生
已经有0人回复
新能源材料方向考研调剂招生(长江师范学院)
已经有0人回复
0854电子信息272求调剂!
已经有0人回复
化学-化工-材料-食品-生物-环境2026年研究生调剂(可以不考数学)
已经有0人回复
化学-化工-材料-食品-生物-环境-农业 2026年研究生调剂(可以不考数学)
已经有1人回复
070300一志愿211,312分求调剂院校
已经有4人回复
26年储能、电池方向博士申请
已经有0人回复
070300化学求调剂
已经有2人回复

|
2楼2015-09-16 10:05:53
luojiang
至尊木虫 (正式写手)
ALL4U
- 应助: 20 (小学生)
- 金币: 12553.2
- 散金: 259
- 红花: 9
- 帖子: 933
- 在线: 466.9小时
- 虫号: 715314
- 注册: 2009-03-05
- 性别: GG
- 专业: 电化学

3楼2015-09-16 10:46:04
123just
金虫 (正式写手)
- 应助: 133 (高中生)
- 金币: 2908.7
- 散金: 20
- 红花: 26
- 帖子: 508
- 在线: 213.2小时
- 虫号: 1159825
- 注册: 2010-12-01
- 性别: GG
- 专业: 电化学

4楼2015-09-16 12:05:43
郑修军
新虫 (小有名气)
- 应助: 3 (幼儿园)
- 金币: 377.7
- 散金: 15
- 帖子: 137
- 在线: 11.6小时
- 虫号: 2360966
- 注册: 2013-03-19
- 性别: GG
- 专业: 凝聚态物性 II :电子结构

5楼2015-09-16 15:44:48
zhaocl
铁杆木虫 (职业作家)
- 应助: 130 (高中生)
- 金币: 8701.3
- 散金: 5
- 红花: 30
- 帖子: 3245
- 在线: 881.8小时
- 虫号: 281666
- 注册: 2006-09-23
- 性别: MM
- 专业: 电化学
6楼2015-09-17 20:59:21
郑修军
新虫 (小有名气)
- 应助: 3 (幼儿园)
- 金币: 377.7
- 散金: 15
- 帖子: 137
- 在线: 11.6小时
- 虫号: 2360966
- 注册: 2013-03-19
- 性别: GG
- 专业: 凝聚态物性 II :电子结构

7楼2015-09-18 14:36:18














回复此楼
5