²é¿´: 289  |  »Ø¸´: 0

hj2006

½ð³æ (ÕýʽдÊÖ)

[ÇóÖú] ±ä·Ö·½³ÌÍÆµ¼

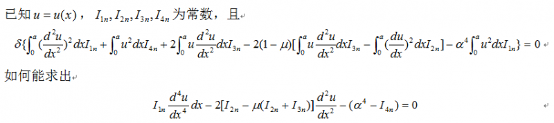
ÒÑÖª±ä·Ö·½³ÌΪ0£¬ÈçºÎÄÜÍÆµ¼³ö·½³Ì

±ä·Ö·½³ÌÍÆµ¼
KT$W89``Q2@AV%}9UBPE4L1.png
»Ø¸´´ËÂ¥

» ²ÂÄãϲ»¶

ÌìµÀ³êÇÚ
ÒÑÔÄ   »Ø¸´´ËÂ¥   ¹Ø×¢TA ¸øTA·¢ÏûÏ¢ ËÍTAºì»¨ TAµÄ»ØÌû
Ïà¹Ø°æ¿éÌø×ª ÎÒÒª¶©ÔÄÂ¥Ö÷ hj2006 µÄÖ÷Ìâ¸üÐÂ
×î¾ßÈËÆøÈÈÌûÍÆ¼ö [²é¿´È«²¿] ×÷Õß »Ø/¿´ ×îºó·¢±í
[¿¼ÑÐ] Ò»Ö¾Ô¸ºÓ±±¹¤Òµ´óѧ0817»¯¹¤278·ÖÇóµ÷¼Á +7 jhybd 2026-03-23 11/550 2026-03-23 23:29 by ´ô´ôʦ½ã
[¿¼ÑÐ] Ò»Ö¾Ô¸»ª¶«Àí¹¤´óѧ081700£¬³õÊÔ·ÖÊý271 +4 kotoko_ik 2026-03-23 5/250 2026-03-23 23:23 by ´ô´ôʦ½ã
[¿¼ÑÐ] 269Çóµ÷¼Á +4 ÎÒÏë¶ÁÑÐ11 2026-03-23 4/200 2026-03-23 21:25 by pswait
[¿¼ÑÐ] 316Çóµ÷¼Á +7 ÁºÜçö© 2026-03-19 7/350 2026-03-23 16:21 by lingjue
[¿¼ÑÐ] ÉúÎïѧ071000 329·ÖÇóµ÷¼Á +5 ÎÒ°®ÉúÎïÉúÎﰮΠ2026-03-17 5/250 2026-03-22 16:42 by tcx007
[¿¼ÑÐ] 260Çóµ÷¼Á +3 ÖìÜÆÁÕ 2026-03-20 4/200 2026-03-22 15:12 by ÖìÜÆÁÕ
[¿¼ÑÐ] ×ÊÔ´Óë»·¾³ µ÷¼ÁÉêÇë(333·Ö) +5 holy J 2026-03-21 5/250 2026-03-21 22:42 by Catalysis25
[¿¼ÑÐ] 0805 316Çóµ÷¼Á +3 ´óÑ©Éî²Ø 2026-03-18 3/150 2026-03-21 18:55 by ѧԱ8dgXkO
[¿¼ÑÐ] 0703»¯Ñ§µ÷¼Á +4 ÄÝÄÝninicgb 2026-03-21 4/200 2026-03-21 18:39 by ѧԱ8dgXkO
[¿¼ÑÐ] Ò»Ö¾Ô¸Éî´ó£¬0703»¯Ñ§£¬×Ü·Ö302£¬Çóµ÷¼Á +4 ÆßÔÂ-ÆßÆß 2026-03-21 4/200 2026-03-21 18:20 by ѧԱ8dgXkO
[¿¼ÑÐ] 279Çóµ÷¼Á +5 ºìÒÂÒþ¹Ù 2026-03-21 5/250 2026-03-21 14:59 by lature00
[¿¼ÑÐ] 330Çóµ÷¼Á0854 +3 assdll 2026-03-21 3/150 2026-03-21 13:01 by ²«»÷518
[¿¼ÑÐ] 301Çóµ÷¼Á +10 yyÒªÉϰ¶Ñ½ 2026-03-17 10/500 2026-03-21 03:14 by JourneyLucky
[¿¼ÑÐ] ³õʼ318·ÖÇóµ÷¼Á£¨Óй¤×÷¾­Ñ飩 +3 1911236844 2026-03-17 3/150 2026-03-21 02:33 by JourneyLucky
[¿¼ÑÐ] Ò»Ö¾Ô¸Î÷ÄϽ»´ó£¬Çóµ÷¼Á +5 ²Ä»¯ÖðÃÎÈË 2026-03-18 5/250 2026-03-21 00:26 by JourneyLucky
[¿¼ÑÐ] AÇøÏß²ÄÁÏѧµ÷¼Á +5 ÖÜÖÜÎÞ¼« 2026-03-20 5/250 2026-03-20 21:33 by laoshidan
[¿¼ÑÐ] Ò»Ö¾Ô¸¼ªÁÖ´óѧ²ÄÁÏѧ˶321Çóµ÷¼Á +11 Ymlll 2026-03-18 15/750 2026-03-20 19:40 by ¶¡¶¡*
[¿¼ÑÐ] 261ÇóBÇøµ÷¼Á£¬¿ÆÑо­Àú·á¸» +3 Å£Ä̺Üæ 2026-03-20 4/200 2026-03-20 19:34 by JourneyLucky
[¿¼ÑÐ] ±¾¿ÆÖ£ÖÝ´óѧÎïÀíѧԺ£¬Ò»Ö¾Ô¸»ª¿Æ070200ѧ˶£¬346Çóµ÷¼Á +4 ÎÒ²»ÊÇÒ»¸ù´Ð 2026-03-18 4/200 2026-03-19 09:11 by ¸¡ÔÆ166
[¿¼ÑÐ] ²ÄÁÏ£¬·ÄÖ¯£¬ÉúÎ0856¡¢0710£©£¬»¯Ñ§ÕÐÉúÀ² +3 Eember. 2026-03-17 9/450 2026-03-18 10:28 by Eember.
ÐÅÏ¢Ìáʾ
ÇëÌî´¦ÀíÒâ¼û