24小时热门版块排行榜    

查看: 837  |  回复: 4

大嘴123

新虫 (初入文坛)

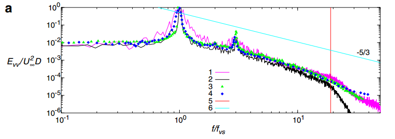
[求助] 如果根据速度分量得到一维能谱图和频谱图?急求

如题,怎样根据速度分量得到能谱图和频谱图?用什么软件,具体怎么操作?网上看了一些资料也没弄清楚,现在用Origin8.0的FFT做处理,出来的图形基本上跟目标图形相差甚远,其他数据都一致,只是频谱图和能谱图出现问题,一是没有该有的峰值,二是趋势不太对,求助,急求!
目标图已经给出,现有数据就是瞬时速度、平均速度、脉动速度。请大神们指导!

如果根据速度分量得到一维能谱图和频谱图?急求
1.png
回复此楼

» 猜你喜欢

» 本主题相关价值贴推荐,对您同样有帮助:

已阅   回复此楼   关注TA 给TA发消息 送TA红花 TA的回帖

大嘴123

新虫 (初入文坛)

自己顶一下,不要沉下去,看了一些文章,都没有详细介绍Evv的求解公式的,菜鸟一个,还请大神们指点
2楼2015-09-15 15:37:36
已阅   回复此楼   关注TA 给TA发消息 送TA红花 TA的回帖

大嘴123

新虫 (初入文坛)

所有的金币都拿出来了,攒了好久金币
3楼2015-09-15 15:40:43
已阅   回复此楼   关注TA 给TA发消息 送TA红花 TA的回帖

cuilongfei1

新虫 (小有名气)

4楼2015-09-17 12:33:42
已阅   回复此楼   关注TA 给TA发消息 送TA红花 TA的回帖

lyne00

新虫 (初入文坛)

楼主,您好 请问问题解决了没
5楼2016-09-18 21:53:57
已阅   回复此楼   关注TA 给TA发消息 送TA红花 TA的回帖
相关版块跳转 我要订阅楼主 大嘴123 的主题更新
最具人气热帖推荐 [查看全部] 作者 回/看 最后发表
[考研] 一志愿北京化工大学 070300 学硕 336分 求调剂 +7 vv迷 2026-03-22 7/350 2026-03-23 23:44 by Txy@872106
[考研] 335分 | 材料与化工专硕 | GPA 4.07 | 有科研经历 +4 cccchenso 2026-03-23 4/200 2026-03-23 23:00 by 徐ckkk
[考研] 材料/农业专业,07/08开头均可,过线就行 +3 呵唔哦豁 2026-03-23 4/200 2026-03-23 22:30 by 汪!?!
[考研] 一志愿南航材料专317分求调剂 +3 炸呀炸呀炸薯条 2026-03-23 3/150 2026-03-23 20:47 by pswait
[考研] 一志愿南京理工大学085701资源与环境302分求调剂 +5 葵梓卫队 2026-03-18 7/350 2026-03-23 16:26 by lingjue
[考研] 291求调剂 +5 孅華 2026-03-22 5/250 2026-03-23 09:20 by haoshis
[考研] 一志愿070300浙大化学358分,求调剂! +4 酥酥鱼.. 2026-03-21 4/200 2026-03-23 08:12 by Iveryant
[考研] 293求调剂 +3 涛涛Wjt 2026-03-22 5/250 2026-03-22 22:21 by jiangpengfei
[考研] 275求调剂 +6 shansx 2026-03-22 8/400 2026-03-22 15:27 by barlinike
[考研] 269专硕求调剂 +6 金恩贝 2026-03-21 6/300 2026-03-22 14:31 by ColorlessPI
[基金申请] 山东省面上项目限额评审 +4 石瑞0426 2026-03-19 4/200 2026-03-22 08:50 by Wei_ren
[考研] 材料学硕301分求调剂 +7 Liyouyumairs 2026-03-21 7/350 2026-03-21 22:31 by peike
[考研] 求调剂 +4 要好好无聊 2026-03-21 4/200 2026-03-21 18:57 by 学员8dgXkO
[考研] 266求调剂 +3 哇呼哼呼哼 2026-03-20 3/150 2026-03-21 16:46 by barlinike
[考研] 0805材料320求调剂 +3 深海物语 2026-03-20 3/150 2026-03-21 15:46 by 无际的草原
[考研] 材料工程(专)一志愿985 初试335求调剂 +3 hiloiy 2026-03-17 4/200 2026-03-21 03:04 by JourneyLucky
[考研] 一志愿重庆大学085700资源与环境专硕,总分308求调剂 +3 墨墨漠 2026-03-18 3/150 2026-03-21 00:39 by JourneyLucky
[考研] 295材料求调剂,一志愿武汉理工085601专硕 +5 Charlieyq 2026-03-19 5/250 2026-03-20 20:35 by JourneyLucky
[考研] 086500 325 求调剂 +3 领带小熊 2026-03-19 3/150 2026-03-20 18:38 by 尽舜尧1
[论文投稿] 申请回稿延期一个月,编辑同意了。但系统上的时间没变,给编辑又写邮件了,没回复 10+3 wangf9518 2026-03-17 4/200 2026-03-19 23:55 by babero
信息提示
请填处理意见