| ²é¿´: 1600 | »Ø¸´: 0 | |||
narcissusè¯Òø³æ (СÓÐÃûÆø)
|
[½»Á÷]
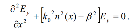
ÈçºÎÓÃÓÐÏÞ²î·Ö·¨½âº¥Ä·»ô×È·½³Ì
|
|
È總¼þÖеÄͼƬÄÇÑùµÄº¥Ä·»ô×È·½³Ì£¬¸ÃÔõôÑùÓÃÓÐÏÞ²î·Ö·¨½â³ö¾ßÌåµÄÖµ£¬Çómatlab³ÌÐò 7)G{1){@YX})WEA[{@O)C$X.png |
» ²ÂÄãϲ»¶
Ò»Ö¾Ô¸ ½ÄÏ´óѧ 085602 »¯¹¤×¨Ë¶ 338·ÖÇóµ÷¼Á
ÒѾÓÐ14È˻ظ´
312Çóµ÷¼Á
ÒѾÓÐ3È˻ظ´
070300»¯Ñ§Ñ§Ë¶311·ÖÇóµ÷¼Á
ÒѾÓÐ13È˻ظ´
²ÄÁϵ÷¼Á
ÒѾÓÐ9È˻ظ´
Ò»Ö¾Ô¸ºÓ±±¹¤Òµ´óѧ²ÄÁϹ¤³Ì£¬³õÊÔ344Çóר˶µ÷¼Á
ÒѾÓÐ4È˻ظ´
²ÄÁÏר˶322
ÒѾÓÐ8È˻ظ´
Ò»Ö¾Ô¸211£¬»¯Ñ§Ñ§Ë¶£¬310·Ö£¬±¾¿ÆÖصãË«·Ç£¬Çóµ÷¼Á
ÒѾÓÐ13È˻ظ´
0703»¯Ñ§
ÒѾÓÐ14È˻ظ´
µ÷¼Á Ò»Ö¾Ô¸¼ªÁÖ´óѧ357·Ö
ÒѾÓÐ3È˻ظ´
»¯Ñ§µ÷¼Á
ÒѾÓÐ18È˻ظ´














»Ø¸´´ËÂ¥