| 查看: 1461 | 回复: 2 | |
ssxujiaqi金虫 (小有名气)
|
[求助]
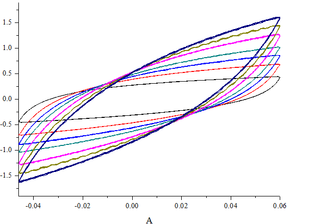
利用电化学电容催化剂电化学活性面积
|
|
|
|
|
2楼2015-09-14 08:28:09
|
|
ssxujiaqi金虫 (小有名气)
|
|
|
3楼2015-09-14 14:20:02
|
|














回复此楼