| 查看: 1192 | 回复: 0 | ||
[求助]
天然气井井下节流阀节流压降的计算
|
|
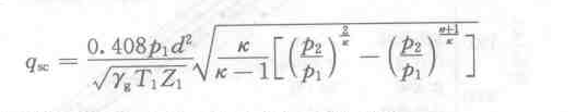
对于固定的井下节流嘴,处于亚临界流时,可以根据入口压力、流量和节流嘴口径求出节流之后的压力;但处于临界流时,流量跟出口压力无关,这时怎么求节流阀出口的压力?计算公式如下图所示,亚临界流时流量为qsc,临界流时流量为qmax 1.png 2.png 3.png |
» 猜你喜欢
AI 太可怕了,写基金时,提出想法,直接生成的文字比自己想得深远,还有科学性
已经有6人回复
有院领导为了换新车,用横向课题经费买了俩车
已经有9人回复
酰胺脱乙酰基
已经有13人回复
博士延得我,科研能力直往上蹿
已经有8人回复
同年申请2项不同项目,第1个项目里不写第2个项目的信息,可以吗
已经有4人回复
有时候真觉得大城市人没有县城人甚至个体户幸福
已经有10人回复
天津大学招2026.09的博士生,欢迎大家推荐交流(博导是本人)
已经有5人回复
遇见不省心的家人很难过
已经有22人回复














回复此楼