²é¿´: 5391  |  »Ø¸´: 0

laoyeye2

ľ³æ (СÓÐÃûÆø)

[ÇóÖú] ÇóÖú£ºÊ¹ÓÃmatlab½øÐжàÄ¿±êÓÅ»¯Éè¼ÆÇó½âpareto×îÓŽâ

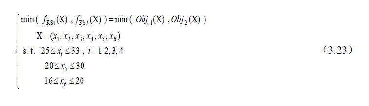
¸ù¾ÝͼƬ1,2,3£¬ÔõôÓÃmatlab½øÐжàÄ¿±êÓÅ»¯Éè¼ÆµÃ³öͼ3.5£¬Ð»Ð»´ó¼Ò¡£

ÇóÖú£ºÊ¹ÓÃmatlab½øÐжàÄ¿±êÓÅ»¯Éè¼ÆÇó½âpareto×îÓŽâ
1.jpg


ÇóÖú£ºÊ¹ÓÃmatlab½øÐжàÄ¿±êÓÅ»¯Éè¼ÆÇó½âpareto×îÓŽâ-1
2.jpg


ÇóÖú£ºÊ¹ÓÃmatlab½øÐжàÄ¿±êÓÅ»¯Éè¼ÆÇó½âpareto×îÓŽâ-2
3.jpg


ÇóÖú£ºÊ¹ÓÃmatlab½øÐжàÄ¿±êÓÅ»¯Éè¼ÆÇó½âpareto×îÓŽâ-3
4.jpg
»Ø¸´´ËÂ¥
ÊÀÉÏÎÞÄÑÊ¡£
ÒÑÔÄ   »Ø¸´´ËÂ¥   ¹Ø×¢TA ¸øTA·¢ÏûÏ¢ ËÍTAºì»¨ TAµÄ»ØÌû
Ïà¹Ø°æ¿éÌø×ª ÎÒÒª¶©ÔÄÂ¥Ö÷ laoyeye2 µÄÖ÷Ìâ¸üÐÂ
×î¾ßÈËÆøÈÈÌûÍÆ¼ö [²é¿´È«²¿] ×÷Õß »Ø/¿´ ×îºó·¢±í
[¿¼²©] ¶«»ªÀí¹¤´óѧ»¯²Äרҵ26½ì˶ʿ²©Ê¿ÉêÇë +8 zlingli 2026-03-13 8/400 2026-03-19 16:32 by ÇáËɲ»ÉÙËæ
[¿¼ÑÐ] ²ÄÁÏר˶274Ò»Ö¾Ô¸ÉÂÎ÷ʦ·¶´óѧÇóµ÷¼Á +8 Ñ¦ÔÆÅô 2026-03-13 8/400 2026-03-19 15:36 by haoshis
[¿¼ÑÐ] 085600²ÄÁÏÓ뻯¹¤µ÷¼Á 324·Ö +10 llllkkkhh 2026-03-18 12/600 2026-03-19 14:33 by llllkkkhh
[¿¼ÑÐ] 317Çóµ÷¼Á +3 Éê×ÓÉêÉê 2026-03-19 6/300 2026-03-19 14:16 by Éê×ÓÉêÉê
[¿¼ÑÐ] 294Çóµ÷¼Á²ÄÁÏÓ뻯¹¤×¨Ë¶ +11 ݤÎÉ­ÁÖ 2026-03-18 11/550 2026-03-19 13:22 by houyaoxu
[¿¼ÑÐ] 070300»¯Ñ§319Çóµ÷¼Á +6 ½õÀð0909 2026-03-17 6/300 2026-03-18 13:22 by Iveryant
[¿¼ÑÐ] 301Çóµ÷¼Á +9 yyÒªÉϰ¶Ñ½ 2026-03-17 9/450 2026-03-18 08:58 by Î޼ʵIJÝÔ­
[¿¼ÑÐ] 296Çóµ÷¼Á +5 ´ó¿Ú³Ô·¹ ÉíÌ彡 2026-03-13 5/250 2026-03-17 21:05 by ²»»ó¿ÉÀÖ
[¿¼ÑÐ] 26¿¼ÑÐÇóµ÷¼Á +6 ؼºêSir 2026-03-13 6/300 2026-03-17 16:13 by ×íÔÚ·çÀï
[¿¼ÑÐ] Áº³ÉΰÀÏʦ¿ÎÌâ×é»¶Ó­ÄãµÄ¼ÓÈë +8 һѼѼӴ 2026-03-14 10/500 2026-03-17 15:07 by һѼѼӴ
[¿¼ÑÐ] 211±¾£¬11408Ò»Ö¾Ô¸ÖпÆÔº277·Ö£¬ÔøÔÚÖпÆÔº×Ô¶¯»¯Ëùʵϰ +6 Losir 2026-03-12 7/350 2026-03-17 12:09 by danranxie
[¿¼ÑÐ] Ò»Ö¾Ô¸£¬¸£ÖÝ´óѧ²ÄÁÏר˶339·ÖÇóµ÷¼Á +3 ľ×ÓmomoÇàÕù 2026-03-15 3/150 2026-03-17 07:52 by laoshidan
[¿¼ÑÐ] 326Çóµ÷¼Á +4 ŵ±´¶û»¯Ñ§½±êéê 2026-03-15 7/350 2026-03-16 17:11 by ŵ±´¶û»¯Ñ§½±êéê
[¿¼ÑÐ] 326Çóµ÷¼Á +3 mlpqaz03 2026-03-15 3/150 2026-03-16 07:33 by Iveryant
[¿¼ÑÐ] 0856ר˶279Çóµ÷¼Á +5 ¼ÓÓͼÓÓÍ£¡? 2026-03-15 5/250 2026-03-15 11:58 by 2020015
[¿¼ÑÐ] Öпƴó²ÄÁÏÓ뻯¹¤319Çóµ÷¼Á +3 ÃÏöβÄÁÏ 2026-03-14 3/150 2026-03-14 20:10 by ms629
[¿¼ÑÐ] ѧ˶285Çóµ÷¼Á +13 Wisjxn 2026-03-12 46/2300 2026-03-14 10:33 by JourneyLucky
[¿¼ÑÐ] һ־Ըɽ´ó07»¯Ñ§ 332·Ö ËÄÁù¼¶Òѹý ±¾¿ÆÉ½¶«Ë«·Ç Çóµ÷¼Á£¡ +3 ²»ÏëÀíÄã 2026-03-12 3/150 2026-03-13 14:18 by JourneyLucky
[¿¼ÑÐ] 289Çóµ÷¼Á +3 ÀîÕþÓ¨ 2026-03-12 3/150 2026-03-13 11:02 by Çóµ÷¼Ázz
[¿¼ÑÐ] 290Çóµ÷¼Á +3 ADT 2026-03-13 3/150 2026-03-13 10:19 by peike
ÐÅÏ¢Ìáʾ
ÇëÌî´¦ÀíÒâ¼û