| 查看: 1621 | 回复: 7 | ||
桑树之泪金虫 (著名写手)
|
[求助]
环盘电极算N为什么不用电流密度算 已有3人参与
|
|
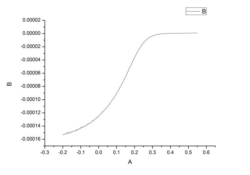
直接用电流算的话应该不准,上次没有LSV没有出现平台,我按-0.2v时的按电流算大致为0.32,按电流密度算为0.42 下面是在铁氰化钾测试结果(纵坐标是电流而不是电流密度) 盘LSV.jpg 环LSV.jpg |
» 猜你喜欢
锂离子电池循环寿命衰减过快,求机理分析与改进思路
已经有2人回复
求博导收留
已经有6人回复
物理化学论文润色/翻译怎么收费?
已经有267人回复
CSC & MSCA 博洛尼亚大学能源材料课题组博士/博士后招生|MSCA经费充足、排名优
已经有6人回复
德国Karlsruhe Institute of Technology招收电化学储能及联合培养CSC博士等
已经有20人回复
德国Karlsruhe Institute of Technology招收电化学储能及联合培养CSC博士
已经有23人回复
德国Karlsruhe Institute of Technology招收电化学储能及联合培养CSC博士
已经有1人回复
固态锂金属电池迁移数计算求助
已经有1人回复
荷兰奈梅亨大学赵文博与Galimberti课题组招收理论计算CSC博士 2000 欧元/月+房补
已经有0人回复
26储能博士申请自荐
已经有22人回复
上海交通大学--宁波东方理工大学电池方向博士招生
已经有10人回复
vivianblue
银虫 (小有名气)
- 应助: 0 (幼儿园)
- 金币: 2090.2
- 红花: 1
- 帖子: 60
- 在线: 71.3小时
- 虫号: 4179850
- 注册: 2015-10-28
- 性别: MM
- 专业: 电化学
2楼2015-10-28 20:01:27
桑树之泪
金虫 (著名写手)
- 应助: 2 (幼儿园)
- 金币: 12030.9
- 散金: 43
- 红花: 4
- 帖子: 2739
- 在线: 956.9小时
- 虫号: 2771367
- 注册: 2013-11-01
- 专业: 支原体、立克次体与衣原体
3楼2015-10-28 20:40:31

4楼2015-10-28 21:12:02

5楼2016-08-10 15:06:14
Williame
新虫 (正式写手)
- 应助: 0 (幼儿园)
- 金币: 3589.2
- 散金: 11
- 帖子: 901
- 在线: 8.1小时
- 虫号: 13752561
- 注册: 2019-01-06
- 专业: 能源化工
6楼2019-07-01 11:29:25
Williame
新虫 (正式写手)
- 应助: 0 (幼儿园)
- 金币: 3589.2
- 散金: 11
- 帖子: 901
- 在线: 8.1小时
- 虫号: 13752561
- 注册: 2019-01-06
- 专业: 能源化工
7楼2019-07-01 11:29:53
Williame
新虫 (正式写手)
- 应助: 0 (幼儿园)
- 金币: 3589.2
- 散金: 11
- 帖子: 901
- 在线: 8.1小时
- 虫号: 13752561
- 注册: 2019-01-06
- 专业: 能源化工
8楼2019-07-03 16:17:19













回复此楼
10