| ²é¿´: 332 | »Ø¸´: 0 | ||
fflyingcatгæ (³õÈëÎÄ̳)
|
[ÇóÖú]
3DͼÀïÒ»¶ÎÊý¾ÝµÄÄâºÏ
|
|
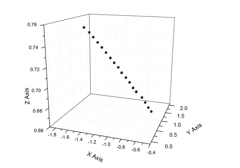
ͼÖÐÊÇÔÚ3D×ø±êϵÄÒ»¶ÎÊý¾Ý£¬ÈçºÎÈ¥ÄâºÏÖ±Ïߣ¿ ÎÒÿ´ÎÑ¡ÔñµãµÄʱºò¶¼ÄÜµãµ½×ø±êϵÉÏ£¬¸ù±¾Ñ¡²»Öе㡡 Çó¸ßÈËÖ¸µã£¬Ïêϸ´Í½Ì IR 800-350.jpg |
» ²ÂÄãϲ»¶
ÄÏ´ó»¯Ñ§µ÷¼Á
ÒѾÓÐ11È˻ظ´
ÁòËáÄÆÈÜҺŨ¶ÈÓëÃܶÈÇúÏß
ÒѾÓÐ0È˻ظ´
ÎïÀí»¯Ñ§ÂÛÎÄÈóÉ«/·ÒëÔõôÊÕ·Ñ?
ÒѾÓÐ165È˻ظ´
0703µ÷¼Á
ÒѾÓÐ4È˻ظ´
1
ÒѾÓÐ21È˻ظ´
0703 µ÷¼Á
ÒѾÓÐ6È˻ظ´
ÕÐÊÕ
ÒѾÓÐ0È˻ظ´
Î÷ÄÏij211ÕÐ27½ì²©Ê¿
ÒѾÓÐ30È˻ظ´
´óÁ¬¹¤Òµ½ÜÇà/³¤½ÍŶÓ-ÉúÎïÖʲÄÁÏ-´¢ÄÜµç³Ø·½ÏòÕÐÊÕ2026¼¶²©Ê¿Éú
ÒѾÓÐ0È˻ظ´
Çóµ÷¼ÁÒ»Ö¾Ô¸º£´ó£¬0703»¯Ñ§Ñ§Ë¶304·Ö£¬Óдó´´ÏîÄ¿£¬Ëļ¶Òѹý
ÒѾÓÐ10È˻ظ´













»Ø¸´´ËÂ¥