| ²é¿´: 790 | »Ø¸´: 2 | |||
Edstrayer°æÖ÷ (ÖøÃûдÊÖ)
·½´ç¶·ÊÒСÌìµØÕýÆøÃÔÂþ´óÊÀ½ç
|
[½»Á÷]
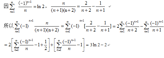
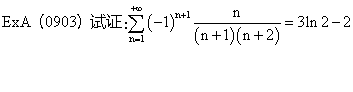
¹ØÓÚ¼¶ÊýÇóºÍµÄÒ»µÀϰÌâ ÒÑÓÐ1È˲ÎÓë
|
´óѧÊýѧϰÌâ»ã¿¯×¨¼ |
» ²ÂÄãϲ»¶
07»¯Ñ§280·ÖÇóµ÷¼Á
ÒѾÓÐ3È˻ظ´
¿¼Ñл¯Ñ§308·ÖÇóµ÷¼Á
ÒѾÓÐ8È˻ظ´
070300»¯Ñ§Çóµ÷¼Á
ÒѾÓÐ7È˻ظ´
ÉúÎïѧһ־Ը985£¬·ÖÊý349Çóµ÷¼Á
ÒѾÓÐ9È˻ظ´
341Çóµ÷¼Á(Ò»Ö¾Ô¸ºþÄÏ´óѧ070300)
ÒѾÓÐ4È˻ظ´
336»¯¹¤µ÷¼Á
ÒѾÓÐ5È˻ظ´
279·ÖÇóµ÷¼Á Ò»Ö¾Ô¸211
ÒѾÓÐ17È˻ظ´
291Çóµ÷¼Á
ÒѾÓÐ4È˻ظ´
328Çóµ÷¼Á£¬Ó¢ÓïÁù¼¶551£¬ÓпÆÑоÀú
ÒѾÓÐ12È˻ظ´
Ò»Ö¾Ô¸ÉϺ£½»´óÉúÎïÓëҽҩר˶324·Ö£¬Çóµ÷¼Á
ÒѾÓÐ5È˻ظ´

ÀÂíÖ®ÆÍ
Òø³æ (СÓÐÃûÆø)
- ÊýѧEPI: 1
- Ó¦Öú: 6 (Ó×¶ùÔ°)
- ½ð±Ò: 1324.7
- ºì»¨: 5
- Ìû×Ó: 70
- ÔÚÏß: 46.8Сʱ
- ³æºÅ: 3918130
- ×¢²á: 2015-06-10
- רҵ: º¯ÊýÂÛ
¡ï ¡ï ¡ï ¡ï ¡ï ¡ï
Сľ³æ: ½ð±Ò+0.5, ¸ø¸öºì°ü£¬Ð»Ð»»ØÌû
Edstrayer: ½ð±Ò+5 2015-09-03 15:48:11
Сľ³æ: ½ð±Ò+0.5, ¸ø¸öºì°ü£¬Ð»Ð»»ØÌû
Edstrayer: ½ð±Ò+5 2015-09-03 15:48:11
|
Ô磡 Òò ¹Ê |
2Â¥2015-09-03 07:21:46
lb0531
Òø³æ (СÓÐÃûÆø)
- Ó¦Öú: 0 (Ó×¶ùÔ°)
- ½ð±Ò: 305
- Ìû×Ó: 102
- ÔÚÏß: 2.1Сʱ
- ³æºÅ: 57760
- ×¢²á: 2005-02-17
- רҵ: ÊýÀíͳ¼Æ
3Â¥2015-11-10 17:20:33













»Ø¸´´ËÂ¥