| ²é¿´: 968 | »Ø¸´: 0 | ||
superdonkeyгæ (³õÈëÎÄ̳)
|
[ÇóÖú]
ÈçºÎÓÃFDM·½·¨Çó½â±äϵÊýƫ΢·Ö·½³Ì×飿
|
|
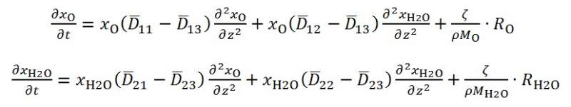
һάƫ΢·Ö·½³Ì×éÈçͼËùʾ£¬xH2OºÍxOΪҪÇó½âµÄº¯Êý¡£ÎÊÌâÊÇ£ºµÈºÅÓұߵĶþ½×µ¼ÊýϵÊýº¬ÓÐxH2OºÍxO£¬µ¼ÖÂÎÞ·¨ÀëÉ¢³É´úÊý·½³Ì×éÇó½â¡£Çó¸ßÊÖÖ¸µã£¬¶àл£¡£¨½ð±Ò²»¶à£¬¿¿»ØÌûÕõ¹»5¸ö²ÅÓдËÌù£© tempPic.jpg |
» ²ÂÄãϲ»¶
ר˶085601Çóµ÷¼Á
ÒѾÓÐ6È˻ظ´
282Çóµ÷¼Á ²»Ìôרҵ ÇóÊÕÁô
ÒѾÓÐ6È˻ظ´
²ÄÁÏר˶ µ÷¼Á
ÒѾÓÐ7È˻ظ´
285Çóµ÷¼Á
ÒѾÓÐ6È˻ظ´
280Çóµ÷¼Á
ÒѾÓÐ17È˻ظ´
¹¤¿Æ 267Çóµ÷¼Á
ÒѾÓÐ6È˻ظ´
µ÷¼Á
ÒѾÓÐ5È˻ظ´
²ÄÁϵ÷¼Á
ÒѾÓÐ13È˻ظ´
315Çóµ÷¼Á
ÒѾÓÐ3È˻ظ´
270Çóµ÷¼Á
ÒѾÓÐ4È˻ظ´














»Ø¸´´ËÂ¥