24小时热门版块排行榜    

查看: 1293  |  回复: 1

nanonina

铁虫 (初入文坛)

[求助] HOMO coefficient 计算

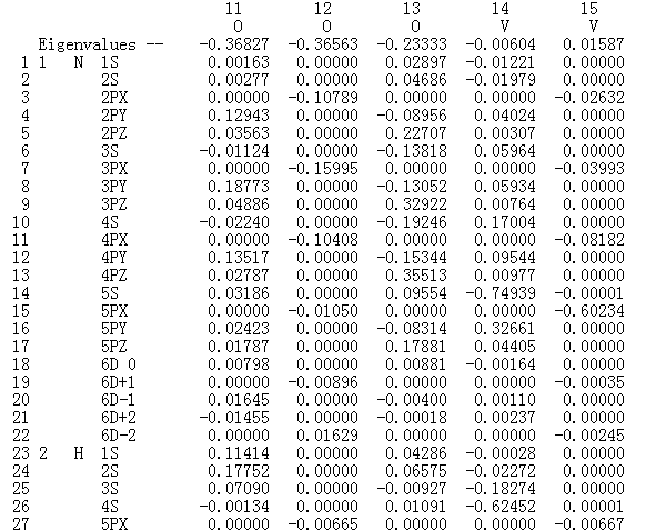
各位大神,已经纠结HOMO coefficient的计算很久了,看了很多资料都没有提到怎么算,跪求指教啊。我用了pop=full 的关键词,输出文件中可以看到如图的信息(一部分),可知第13能级是HOMO,14是LOMO,也可以看到不同原子各个轨道对能级的贡献,但是怎么进行归一化,计算原子对能级的贡献(也就是N或者H的HOMO coefficient)呢?有认识的人说直接把各个轨道的贡献值平方和,但是我看文献中HOMO coefficient会有负值,可见平方和的求法并不适用。

HOMO coefficient 计算
搜狗截图15年09月01日2242_1.png
回复此楼
已阅   回复此楼   关注TA 给TA发消息 送TA红花 TA的回帖

庄存

金虫 (小有名气)

五年了,请问您后来解决这个问题了吗
2楼2020-05-30 16:27:19
已阅   回复此楼   关注TA 给TA发消息 送TA红花 TA的回帖
相关版块跳转 我要订阅楼主 nanonina 的主题更新
最具人气热帖推荐 [查看全部] 作者 回/看 最后发表
[考研] 07化学280分求调剂 +3 722865 2026-03-23 3/150 2026-03-23 18:48 by macy2011
[考研] 上海电力大学材料防护与新材料重点实验室招收调剂研究生(材料、化学、电化学,环境) +3 我爱学电池 2026-03-23 3/150 2026-03-23 17:16 by AZMK
[考研] 085600材料与化工 +10 安全上岸! 2026-03-16 10/500 2026-03-23 09:31 by Jy?
[考研] 284求调剂 +6 Zhao anqi 2026-03-22 6/300 2026-03-23 09:23 by king123!
[考研] 一志愿中南大学化学学硕0703总分337求调剂 +4 niko- 2026-03-22 4/200 2026-03-23 07:56 by Iveryant
[考研] 石河子大学(211、双一流)硕博研究生长期招生公告 +3 李子目 2026-03-22 3/150 2026-03-22 21:01 by 怎么释怀
[考研] 考研调剂 +4 来好运来来来 2026-03-21 4/200 2026-03-22 12:15 by 星空星月
[考研] 求调剂 +4 要好好无聊 2026-03-21 4/200 2026-03-21 18:57 by 学员8dgXkO
[考研] 268求调剂 +9 简单点0 2026-03-17 9/450 2026-03-21 15:37 by lature00
[考研] 085601调剂 358分 +3 zzzzggh 2026-03-20 4/200 2026-03-21 10:21 by luoyongfeng
[考研] 材料专业求调剂 +6 hanamiko 2026-03-18 6/300 2026-03-21 00:24 by JourneyLucky
[考研] 22408 344分 求调剂 一志愿 华电计算机技术 +4 solanXXX 2026-03-20 4/200 2026-03-20 23:49 by alg094825
[考研] 321求调剂 +9 何润采123 2026-03-18 11/550 2026-03-20 23:19 by JourneyLucky
[考研] 295复试调剂 +8 简木ChuFront 2026-03-19 8/400 2026-03-20 20:44 by zhukairuo
[考研] 0817 化学工程 299分求调剂 有科研经历 有二区文章 +22 rare12345 2026-03-18 22/1100 2026-03-20 20:39 by zhukairuo
[考研] 一志愿吉林大学材料学硕321求调剂 +11 Ymlll 2026-03-18 15/750 2026-03-20 19:40 by 丁丁*
[考研] 求调剂 +3 @taotao 2026-03-20 3/150 2026-03-20 19:35 by JourneyLucky
[论文投稿] 申请回稿延期一个月,编辑同意了。但系统上的时间没变,给编辑又写邮件了,没回复 10+3 wangf9518 2026-03-17 4/200 2026-03-19 23:55 by babero
[考研] 0703化学调剂 +4 18889395102 2026-03-18 4/200 2026-03-19 16:13 by 30660438
[考研] 一志愿福大288有机化学,求调剂 +3 小木虫200408204 2026-03-18 3/150 2026-03-19 13:31 by houyaoxu
信息提示
请填处理意见