| 查看: 1651 | 回复: 4 | ||
让她降落铜虫 (正式写手)
|
[求助]
如何画指数坐标图 已有1人参与
|
|
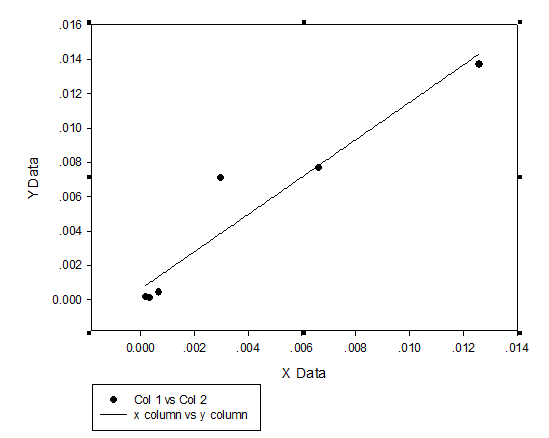
如图所示,图片中的纵坐标是用指数表示的。楼主尝试用origin做这种图后发现效果并不理想,主要是数值不好在坐标轴上表示。请问有没有作图工具能够做出这种效果。 1$AVHF(@79KFAIE)8RNX`~1.png |
» 猜你喜欢
298求调剂
已经有4人回复
生物学308分求调剂(一志愿华东师大)做过分子实验
已经有7人回复
288求调剂,一志愿华南理工大学071005
已经有11人回复
一志愿深大085601材料工程专业(专硕)300分可以调剂去哪
已经有13人回复
一志愿郑州大学085600求调剂
已经有24人回复
327求调剂
已经有12人回复
327求调剂
已经有10人回复
材料考研求调剂总分280
已经有28人回复
308求调剂
已经有14人回复
材料专硕调剂
已经有13人回复
» 本主题相关价值贴推荐,对您同样有帮助:
求助:origin画图问题
已经有5人回复
《excel2010应用大全》【转载】
已经有10人回复
通过键级曲线和ELF/LOL/RDG等值面动画研究化学反应过程
已经有12人回复
请教,如何画出y=x2的线性散点图
已经有0人回复
origin的几个使用技巧
已经有15人回复
【分享】origin的几个使用技巧【已搜索无重复】
已经有44人回复
【分享】100个著名初等数学问题
已经有17人回复
如何画出这样的图及拟合出参数
已经有4人回复
arbesineja
至尊木虫 (著名写手)
- 应助: 44 (小学生)
- 金币: 11256.3
- 散金: 2000
- 红花: 13
- 帖子: 2231
- 在线: 569.3小时
- 虫号: 1856083
- 注册: 2012-06-11
- 性别: GG
- 专业: 生态系统生态学
2楼2015-09-01 22:42:07
arbesineja
至尊木虫 (著名写手)
- 应助: 44 (小学生)
- 金币: 11256.3
- 散金: 2000
- 红花: 13
- 帖子: 2231
- 在线: 569.3小时
- 虫号: 1856083
- 注册: 2012-06-11
- 性别: GG
- 专业: 生态系统生态学
【答案】应助回帖
★ ★ ★ ★ ★ ★ ★ ★ ★ ★ ★ ★ ★ ★ ★ ★ ★ ★ ★ ★ ★ ★ ★ ★ ★ ★ ★ ★ ★ ★
感谢参与,应助指数 +1
让她降落: 金币+30, ★★★★★最佳答案, 非常感谢,在您的帮助下已解决问题。 2015-09-04 08:17:08
感谢参与,应助指数 +1
让她降落: 金币+30, ★★★★★最佳答案, 非常感谢,在您的帮助下已解决问题。 2015-09-04 08:17:08
|
SigmaPlot, 比origin好用,细节处理更为方便,做出的图完全可以弄成这样的,上手也比较容易 发自小木虫Android客户端 |
3楼2015-09-01 22:44:17
让她降落
铜虫 (正式写手)
- 应助: 3 (幼儿园)
- 金币: 1356.4
- 散金: 20
- 红花: 2
- 帖子: 410
- 在线: 154.7小时
- 虫号: 1978640
- 注册: 2012-09-06
- 专业: 环境微生物学
4楼2015-09-02 17:08:04
arbesineja
至尊木虫 (著名写手)
- 应助: 44 (小学生)
- 金币: 11256.3
- 散金: 2000
- 红花: 13
- 帖子: 2231
- 在线: 569.3小时
- 虫号: 1856083
- 注册: 2012-06-11
- 性别: GG
- 专业: 生态系统生态学
5楼2015-09-02 17:57:51














回复此楼