| 查看: 889 | 回复: 1 | ||
毅丝不挂木虫 (小有名气)
|
[求助]
方程是非线性的,进行有限差分后存在一阶偏导的平方项,想问问各位该怎么处理比较好
|
|
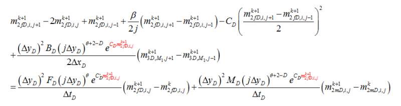
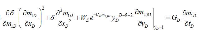
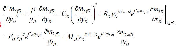
建立模型后遇到含有一阶偏导的平方的项,进行有限差分后存在平方项,看文献中有提到用Netwon-Raphson方法迭代,但是没说具体该怎么做,鄙人初次接触这方面的研究,所以想请各位大神帮忙看看该怎么解,谢谢了 11.jpg 12.jpg 21.jpg 22.jpg |
» 猜你喜欢
284求调剂
已经有10人回复
一志愿山东大学药学学硕求调剂
已经有4人回复
07化学280分求调剂
已经有4人回复
298-一志愿中国农业大学-求调剂
已经有12人回复
求材料,环境专业调剂
已经有3人回复
335求调剂
已经有5人回复
求调剂
已经有7人回复
一志愿吉大化学322求调剂
已经有4人回复
环境学硕288求调剂
已经有8人回复
341求调剂(一志愿湖南大学070300)
已经有6人回复

毅丝不挂
木虫 (小有名气)
- 应助: 1 (幼儿园)
- 金币: 2250.9
- 红花: 2
- 帖子: 167
- 在线: 38.8小时
- 虫号: 2706007
- 注册: 2013-10-05
- 性别: GG
- 专业: 流体力学

2楼2015-09-02 08:39:17













回复此楼