| 查看: 1004 | 回复: 7 | |||
[交流]
浮体的线性阻尼系数怎么求啊?多谢各位不吝赐教
|
|
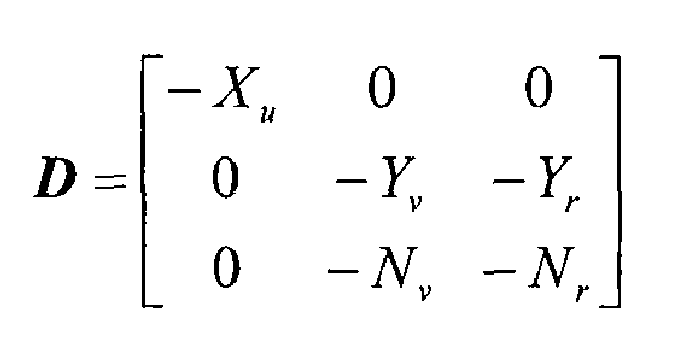
浮体的线性阻尼系数怎么求? 做动力定位,需要阻尼系数,如下图各项? 怎么求?有经验公式吗?还是需要软件求?没有实验结果。 另外特别对于半潜式平台怎么求这些项? 多谢各位不吝赐教 没有金币了 不好意思 希望大家见谅 大家多多交流哈 再次谢过了 阻尼系数.png |
» 猜你喜欢
找调剂
已经有3人回复
一志愿南昌大学324求调剂
已经有7人回复
材料专硕322分
已经有5人回复
材料与化工(0856)304求B区调剂
已经有12人回复
材料调剂
已经有10人回复
省双一流重点一本大学招收调剂
已经有6人回复
321求调剂
已经有6人回复
288求调剂 一志愿哈工大 材料与化工
已经有26人回复
材料调剂
已经有5人回复
一志愿北交大材料工程总分358
已经有4人回复
2楼2015-08-30 12:18:15
3楼2015-08-30 15:42:53
4楼2015-08-31 17:21:17
5楼2015-09-01 11:10:28
6楼2015-09-02 14:30:52
7楼2015-09-03 18:11:18
8楼2016-02-24 08:22:06














回复此楼