| 查看: 515 | 回复: 2 | |
sxyzt铁杆木虫 (职业作家)
|
[求助]
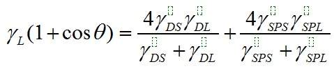
求高手用Vc编个程序解方程组 已有1人参与
|
|
|
|
匿名用户注销 (文坛精英)
|
|
|
2楼2015-09-02 01:00:19
|
|
justmc木虫 (小有名气)
|
|
|
3楼2015-09-02 07:26:44
|
|














回复此楼