24小时热门版块排行榜    

查看: 265  |  回复: 0

sancareer

新虫 (初入文坛)

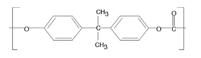
[求助] 麻烦算下polycarbonate分子的电子轨道能级

谢谢

麻烦算下polycarbonate分子的电子轨道能级
无标题.png
回复此楼

» 猜你喜欢

» 本主题相关商家推荐: (我也要在这里推广)

已阅   回复此楼   关注TA 给TA发消息 送TA红花 TA的回帖
相关版块跳转 我要订阅楼主 sancareer 的主题更新
最具人气热帖推荐 [查看全部] 作者 回/看 最后发表
[考研] 352求调剂 +3 大米饭! 2026-03-22 3/150 2026-03-22 23:28 by king123!
[考研] 263求调剂 +4 yqdszhdap- 2026-03-22 4/200 2026-03-22 21:20 by 1144970272
[考研] 307求调剂 +11 冷笙123 2026-03-17 11/550 2026-03-22 20:16 by edmund7
[考研] 求调剂一志愿海大,0703化学学硕304分,有大创项目,四级已过 +6 幸运哩哩 2026-03-22 10/500 2026-03-22 20:10 by edmund7
[考研] 293求调剂 +12 zjl的号 2026-03-16 17/850 2026-03-22 16:51 by i_cooler
[考研] 319求调剂 +4 小力气珂珂 2026-03-20 4/200 2026-03-22 15:53 by ColorlessPI
[考研] 考研调剂 +4 来好运来来来 2026-03-21 4/200 2026-03-22 12:15 by 星空星月
[考研] 384求调剂 +3 子系博 2026-03-22 4/200 2026-03-22 11:04 by 搏击518
[考研] 085600材料与化工306 +4 z1z2z3879 2026-03-21 4/200 2026-03-21 23:44 by ms629
[考研] 286求调剂 +10 Faune 2026-03-21 10/500 2026-03-21 23:34 by 314126402
[考研] 求调剂 +3 13341 2026-03-20 3/150 2026-03-21 18:28 by 学员8dgXkO
[考研] 【考研调剂】化学专业 281分,一志愿四川大学,诚心求调剂 +11 吃吃吃才有意义 2026-03-19 11/550 2026-03-21 18:23 by 学员8dgXkO
[考研] 316求调剂 +6 梁茜雯 2026-03-19 6/300 2026-03-21 06:32 by Ecowxq666!
[考研] 321求调剂 +9 何润采123 2026-03-18 11/550 2026-03-20 23:19 by JourneyLucky
[考研] 一志愿南京理工大学085701资源与环境302分求调剂 +4 葵梓卫队 2026-03-18 6/300 2026-03-20 23:02 by JourneyLucky
[考研] 317求调剂 +5 申子申申 2026-03-19 9/450 2026-03-20 22:26 by JourneyLucky
[考研] 353求调剂 +3 拉钩不许变 2026-03-20 3/150 2026-03-20 19:56 by JourneyLucky
[考研] 261求B区调剂,科研经历丰富 +3 牛奶很忙 2026-03-20 4/200 2026-03-20 19:34 by JourneyLucky
[考研] 广西大学家禽遗传育种课题组2026年硕士招生(接收计算机专业调剂) +3 123阿标 2026-03-17 3/150 2026-03-20 15:58 by 飞行琦
[论文投稿] 申请回稿延期一个月,编辑同意了。但系统上的时间没变,给编辑又写邮件了,没回复 10+3 wangf9518 2026-03-17 4/200 2026-03-19 23:55 by babero
信息提示
请填处理意见