| 查看: 604 | 回复: 3 | ||
[求助]
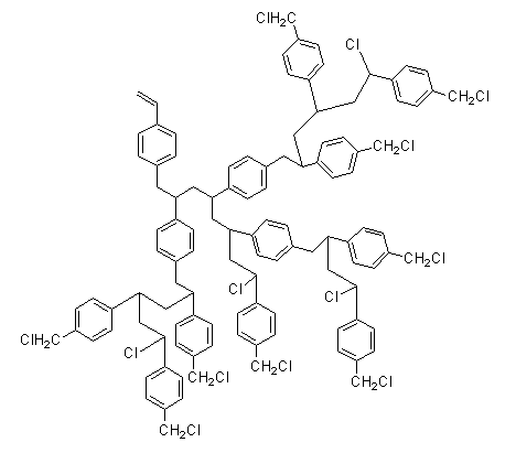
超支化聚对氯甲基苯乙烯(h-PCMS)能够发生消去反应吗?可以继续进行聚合反应吗?
|
||
|
|
||
|
||
|
2楼2015-11-30 22:02:20
|
|
|
|
3楼2015-12-19 07:36:27
|
|
|
|
||
|
4楼2015-12-19 23:06:19
|
|















回复此楼