| 查看: 2177 | 回复: 1 | ||
[求助]
由接触角计算表面能
|
|
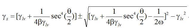
图片1中的公式根据泰勒公式怎么计算化简成图片2 中的公式的? 2中的公式ω是指什么? 2中β由文献查到是0.000125。 公式1 是根据接触角结算表面能,是将Young‘s equation 和Neumann's equation of state 结合在一起得到的 1.jpg 2.jpg |
» 猜你喜欢
求调剂0703
已经有5人回复
一志愿天津大学339材料与化工求调剂
已经有4人回复
一志愿华南师范361分,化学求调剂
已经有3人回复
282求调剂
已经有6人回复
一志愿 南京航空航天大学 ,080500材料科学与工程学硕
已经有10人回复
273求调剂
已经有13人回复
一志愿085600中科院宁波所276分求调剂
已经有21人回复
求调剂
已经有6人回复
339求调剂
已经有5人回复
265求调剂
已经有6人回复
1151425850
实习版主
|
本帖内容被屏蔽 |
2楼2015-12-23 10:46:11














回复此楼